Ⅰ. 서론
문제행동은 자폐스펙트럼장애(Autism Spectrum Disorder, ASD), 지적장애(Intellectual Disability, ID), 주의력결핍과잉행동장애(Attention-Deficit/Hyperactivity Disorder, ADHD) 등 발달장애 아동의 기능적 삶을 방해할 뿐 아니라, 보호자와 교사, 전문가의 정서적 부담을 증가시키며 중재의 지속 가능성을 위협하는 요인이 된다(Hanley et al., 2005). 응용행동분석(Applied Behavior Analysis: ABA)은 이러한 문제행동을 기능적으로 이해하고 환경 요인을 조정함으로써 체계적인 행동 변화를 유도하는 기능 기반 중재를 주된 접근으로 강조해 왔다(Cooper, Heron, & Heward, 2020). 그중에서도 소거(extinction)는 문제행동에 대한 기능적 강화 결과를 더 이상 제공하지 않음으로써 해당 행동을 감소시키는 핵심 절차로 오랫동안 근거 기반의 효과적인 전략으로 사용되었다.
그러나 소거는 실제 중재 상황에서 다양한 부작용을 수반하기도 한다. 대표적으로 소거 폭발(extinction burst), 일시적인 문제행동의 악화, 감정적 반응의 유발, 좌절 경험, 그리고 보호자나 교사의 중재 충실도(fidelity) 저하 등의 문제가 제시되었으며(Athens & Vollmer, 2010; Lerman, & Iwata, 1999; Muething et al., 2024), 이는 중재 수행 시 현실적인 어려움을 유발한다(Kim & Choi, 2018; Park & Kim, 2014). 특히 자해나 공격과 같은 강도 높은 문제행동의 경우, 소거 절차의 적용이 항상 부적절하다고 단정할 수는 없지만, 해당 절차에서 발생할 수 있는 일시적 행동 악화로 위험 상황이 초래할 수 있어 안전 문제와 정서적 부담을 증가시킬 수 있다(Rajaraman et al., 2022). 이러한 이유로 최근 실무 현장에서는 소거를 포함하지 않는 중재 전략(non-extinction-based interventions)에 대한 관심이 높아지고 있으며, 근거 기반 중재를 위해 효과에 대한 검증이 요구되고 있다.
비소거 기반 전략은 문제행동에 대한 강화가 완전히 차단되지 않은 상태에서, 대체행동에 더 즉각적이거나 질적으로 우월한 강화 조건을 제공하여 행동의 강화율을 재배분(reallocation)하는 방식의 접근이다. 이를 통해 아동은 점진적으로 적절한 대체행동을 더 자주 선택하게 되며, 그 결과 기존 문제행동의 발생 빈도는 감소하게 된다. 이는 소거 절차를 수반하지 않는 차별강화 또는 문제행동과 대체행동에 대한 동시강화 스케줄(concurrent schedules)을 적용하는 개념이다(Athens & Vollmer, 2010; Trump et al., 2020).
최근 ABA 분야에서는 트라우마를 경험한 개인의 특성과 필요를 반영한 트라우마 인식 기반 접근(Trauma-Informed Care, TIC)의 중요성이 강조되고 있다(Rajaraman et al., 2022). TIC는 미국 보건복지부 산하 SAMHSA(Substance Abuse and Mental Health Services Administration)가 2014년 발간한 TIP 57: Trauma-Informed Care in Behavioral Health Services에서 제시된 철학과 실천 원칙을 근간으로, 중재 환경이 예측 가능하고 안전하며 존중 기반의 관계 속에서 운영될 것을 요구하며, 재외상(re-traumatization)을 예방하고 회복(resilience)을 지원하는 것을 목표로 한다(SAMHSA, 2014). 특히 행동분석 자격위원회(BACB)가 2024년 개정한 윤리 강령에서 “연민(compassion)”, “존엄(dignity)”, “자기결정(self-determination)”, “개인적 선택(personal choice)”을 새롭게 핵심 원리로 추가 명시한 것은 ABA가 내담자의 경험과 정서적 상황을 고려하는 방향으로 실천 기준을 확장하고 있음을 보여준다(BACB, 2024). 이러한 맥락에서 볼 때, 비소거(non-extinction) 기반 중재는 소거 적용 시 발생할 수 있는 부정적 정서 반응을 최소화하면서 좀 더 안정된 상태에서 행동 변화가 이루어지도록 환경을 마련할 수 있다는 점에서 TIC가 강조하는 안전한 환경 조성 중심의 개입 원리와 일치한다.
이러한 배경에서 비소거 기반 접근이 소거 절차의 부수적 위험을 최소화하면서 문제행동 감소를 도모하는 대안적 중재 방식으로 주목받고 있다. Trump et al.(2020)은 1961년부터 2015년까지 발표된 단일대상연구 중 비소거 기반 중재가 적용된 32편의 연구(109건 실험, 총 111명 참여자)를 문헌 검토한 결과, 강화의 질, 지연, 양 및 상황적 맥락의 조정을 통해 문제행동 감소와 대체행동 증가가 일관되게 나타남을 보고하였다. 그러나 해당 연구는 Single Case Analysis and Review Framework(SCARF) 기준에 따른 시각적·질적 분석 중심으로 효과를 요약하고 있어, 효과 크기를 정량적으로 통합하거나 변인별 차이를 비교하기 어렵다는 제한점을 가진다.
따라서 비소거 기반 중재 효과에 대한 보다 객관적인 근거를 제시하기 위해서는 단일대상연구에 적합한 정량적 효과 크기 지표를 활용한 메타분석이 필요하다. 이는 임상 현장에서 중재 전략을 선택할 때 안전과 관계 기반 개입을 중시하는 TIC 관점에서, 비소거 기반 중재가 근거에 기반한 타당한 전략이 될 수 있는지 평가하는 데 중요한 근거를 제공한다. 최근 단일대상연구의 효과 크기 산출을 위해 주목받고 있는 Tau-U 지표는 기존의 비중첩 지표들(NAP, PEM, PND 등)과 달리 기초선 추세를 보정할 수 있고, 시각적 분석의 주관성을 보완하며, 연구 간 효과 비교를 가능하게 한다는 장점을 가진다(Brossart et al., 2014; Fingerhut, Xu & Moeyaert, 2021). 그러나 현재까지 비소거 기반 중재를 대상으로 Tau-U 효과 크기를 체계적으로 분석한 연구는 보고되지 않았다.
이에 본 연구는 소거 절차를 사용하지 않은 문제행동 중재의 단일대상연구를 선정하여 그 특성과 경향을 체계적으로 분석하고, 각 연구의 목표행동(문제행동, 대체행동) 데이터를 활용하여 Tau-U 기반 메타분석을 실시함으로써 비소거 기반 중재의 효과성을 정량적으로 제시하고자 한다. 또한 이러한 분석 결과를 바탕으로 임상적, 실천적 측면에서 비소거 기반 중재 전략이 실제 현장에서 적용 가능한 유효한 중재 전략인지 검토하고자 한다.
Ⅱ. 연구 방법
본 연구는 비소거 기반 중재의 효과를 체계적으로 검토하고 정량적으로 분석하기 위해 체계적 문헌분석 및 메타분석을 실시하였다. 연구 선정 및 분석 절차는 PRISMA 2020 flow diagram Updated SRs_v2(Preferred Reporting Items for Systematic Reviews and Meta-Analyses)에 따라 진행하였다. PRISMA 지침은 문헌의 검색, 선택, 자료 추출 및 분석의 전 과정을 명확히 제시함으로써 연구 결과의 신뢰도와 재현 가능성을 높이는 것을 목적으로 한다(Page et al., 2021). 본 연구에서도 이러한 절차적 기준에 따라 문헌을 선별하였으며, 구체적 선정 절차는 PRISMA 흐름도로 요약하여 <Figure 1>에 제시하였다.
문헌 검색은 선행 연구인 Trump et al.(2020)의 체계적 문헌분석 연구가 이미 2015년까지의 연구를 분석 대상으로 포함하였으므로, 본 연구에서는 그 이후의 연구 전반을 대상으로 진행하였다. 이에 따라 2016년 1월부터 2025년 2월까지 동료 평가 학술지에 게재된 영문 논문을 검색 대상으로 하였다. 데이터베이스 검색은 EBSCO, ERIC, ProQUEST, PsycINFO를 활용하였으며, Trump et al.(2020)에서 사용된 핵심어(예: “differential reinforcement of Replacement behaviors”, “functional communication training”)와 비소거 관련 용어(예: “non-extinction”, “without extinction”)를 조합하여 검색식을 구성하였다. 검색된 문헌의 서지 정보는 Microsoft Excel에 통합하여 중복 문헌을 제거하였으며, 그 결과 총 220편의 문헌이 식별되었고, 중복 문헌 53편을 제외한 167편이 선별 단계로 진행되었다.
연구 선정은 다음의 기준을 충족하는 문헌을 대상으로 하였다: (1) 인간을 대상으로 한 연구, (2) 비소거 기반 중재 효과를 평가한 단일대상연구, (3) 문제행동의 기능분석을 통해 중재의 내적 타당도를 확보한 연구, (4) 효과 크기 산출을 위한 Tau-U 분석이 가능한 연구. 본 연구에서의 비소거 기반 중재는 문제행동과 대체행동에 동시 강화 스케줄을 제공하되 문제행동에 대한 강화는 기존대로 유지한 상태에서, 대체행동에 더 높은 강화 비율을 적용하여 아동이 대체행동을 우선적으로 선택하도록 유도함으로써 문제행동을 감소시키는 절차를 말한다. 1차 선별 단계에서는 두 명의 연구자가 독립적으로 167편의 제목과 초록을 검토하였다. 이 과정에서 인간을 대상으로 하지 않은 연구 33편과 비소거 기반 단일대상연구를 사용하지 않은 문헌 112편을 제외하였다. 연구자 간의 의견 불일치는 충분한 논의를 통해 조정하였으며, 최종적으로 22편의 문헌이 1차 선별 대상으로 선정되었다.
2차 선별 단계에서는 1차 선별을 통과한 22편의 문헌과 Trump et al.(2020)에 포함된 기존 32편의 문헌을 통합하여 총 54편의 전문(full text)을 검토하였다. 이 중 36편의 문헌이 제외되었으며, 주요 제외 사유는 (a) Tau-U를 통해 중재 효과 크기를 산출할 수 없는 경우(예: Athens & Vollmer, 2010; Horner & Day, 1991; Richman, Wacker, & Winborn, 2001)와 (b) 비소거 기반 중재를 사용하지 않은 경우(예: Cowdery, Iwata, & Pace, 1990; Hagopian et al., 1998; Hoch et al., 2002; Johnson et al., 2004; Piazza et al., 1997) 이었다. 이후 참고문헌 추적(reference tracing) 과정을 통해 추가적으로 3편의 연구(Fritz et al., 2017; Hagopian & Toole, 2009; Slocum & Vollmer, 2015)가 검색되었으며, 이 중 선정 기준을 충족시키는 2편(Fritz et al., 2017; Hagopian & Toole, 2009)이 포함되었다. 최종적으로 총 20편의 연구가 분석 대상으로 선정되었으며, 이들 문헌에는 비소거 중재가 시행된 총 79건의 독립적 실험이 포함되어 있었다. 각 실험은 개별 분석 단위로 간주하여 체계적 문헌분석과 메타분석을 수행하였다.
선정된 20편의 연구들에서 79건의 독립적 실험을 개별 분석 단위로 추출하여 실험의 특성을 주제 요인별로 분류·코딩하였다. 주제 요인은 독립 실험의 주요 특성을 체계적으로 구분하기 위한 범주로 설정하였으며, 그 구체적인 항목은 선행연구(Trump et al., 2020)에서 제시된 기준을 참조하되 연구의 질적 특성(유지, 일반화, 신뢰도, 중재충실도)을 별도의 주제 요인으로 추가하여 보다 포괄적인 분석 체계로 확장하였다. 주제 요인별 세부 코딩 항목은 다음과 같다. (1) 연구 참여자 특성(연령, 장애 유형), (2) 중재 목표 행동 및 기능(목표행동 유형, 문제행동 기능), (3) 중재자 및 환경(중재자 유형, 중재 환경), (4) 중재 전략, (5) 연구의 질적 특성(유지, 일반화, 신뢰도, 중재충실도, 사회적 타당도). 코딩된 자료는 주제 요인별로 빈도와 비율을 산출하여 서술적 통계로 제시하였으며, 코딩의 신뢰도는 분석자 간 일치도에 따라 검증 절차를 통해 확인하였다.
본 연구에 포함된 총 79건의 독립적 실험에 대해 실험 단위별로 중재 효과 크기를 산출하였다. 각 연구의 그래프의 기초선과 중재 구간의 자료점을 추출하기 위해 웹 기반 프로그램인 WebPlotDigitizer(Rohatgi, 2023; https://automeris.io)를 사용하였다. 해당 프로그램을 활용하여 그래프의 좌푯값을 디지타이징한 후, 연구에서 제시된 구간 구분에 따라 자료점을 기초선과 중재 구간으로 분류하였다. 그래프 데이터 추출의 신뢰도 검증 절차와 결과는 분석자 간 일치도 산출 과정에 기술하였다. 중재 효과 크기의 산출에는 Tau-U 지표(Parker et al., 2011)를 사용하였다. Tau-U 계산은 웹 기반 프로그램 Tau-U Calculator(Vannest et al., 2016)를 통해 수행하였으며, 디지타이징된 자료점을 기초선 구간과 중재 구간에 입력하여 각 실험 단위의 Tau-U 값을 산출하였다. Tau-U는 기초선 단계의 경향을 통계적으로 통제함으로써 순수한 중재 효과를 정밀하게 산출할 수 있으며, 효과의 크기와 방향성을 동시에 반영할 수 있다는 장점이 있다(Parker et al., 2011). 산출된 효과 크기의 범위는 -1.00에서 +1.00 사이였으며, 결과 해석에는 Parker et al. (2011)이 제시한 기준(0-0.65: 작은 효과, 0.66-0.92: 중간 효과, 0.93-1.00: 큰 효과)을 적용하였다. 본 연구에서는 문제행동의 감소를 긍정적 변화로 간주하였으므로, 감소 방향의 효과가 나타난 Tau-U 값은 부호를 반전시켜 해석하였다.
데이터 분석은 Comprehensive Meta-Analysis(CMA) Version 4 프로그램을 활용하여 전체 평균 효과 크기와 통계적 유의성을 검증하였다. 모든 분석은 랜덤효과모형(random-effects model)을 적용하였으며, 실험 간 변동성을 확인하기 위해 Q통계와 I2 지수를 산출하여 이질성을 평가하였다. 분석 결과, 연구 간 효과 크기 간의 변동성이 크게 나타나, 하위 요인별 차이를 추가적으로 검토할 필요가 있었다. 그러나 문제행동과 대체행동 유형, 연령, 장애 유형, 중재 방법 등 세부 주제 요인의 경우, 각 하위집단당 연구 수가 5건 미만으로 통계적 검정을 위한 최소 기준을 충족하지 못하였다. Harrer et al.(2022)는 Meta-ANOVA 수행 시 전체 연구 수가 10건 이상이며, 각 하위집단에 최소 5건 이상의 연구가 포함되어야 통계적 타당성이 확보된다고 제시한 바 있다. 또한 한국보건의료연구원(2020)의 의료기술평가방법론: 체계적 문헌고찰 가이드라인(p.176)에 따르면 메타분석 수행이 어려울 경우 중앙값(Median) 등 기술통계적 지표를 사용하여 효과 크기의 경향성(descriptive tendency)을 요약할 것을 권고하고 있다. 이에 본 연구에서는 조절변인 분석의 통계적 검정 대신 Mdn을 활용하여 하위 집단들의 효과 크기의 기술적 경향(descriptive tendency)을 제시하였다. Mdn은 이상치(outlier)의 영향을 거의 받지 않아 비정규 분포나 소표본 연구에서 더욱 안정적으로 중심 경향을 나타낸다(Leys et al., 2013; Wilcox, 2021). 아울러 효과 크기의 분포와 연구 간 일관성을 시각적으로 검토하기 위해 숲그림(Forest plot)을 작성하였다. 이를 통해 개별 실험의 효과 크기와 95% 신뢰구간을 시각적으로 비교함으로써, 중재 효과의 방향성과 변동성을 확인하고, 통계적 검정 결과 해석의 타당성을 높이고자 하였다.
본 연구의 신뢰도는 주제 요인별 코딩 과정과 그래프 데이터 추출 과정으로 나누어 산출하였다. 두 과정의 일치도는 모두 전체 항목 수에 대한 일치한 항목 수의 백분율을 구하는 방식을 사용하였으며, 구체적인 공식은 아래와 같다.
첫째, 주제 요인별 코딩의 경우, 두 명의 연구자가 독립적으로 코딩을 수행하였다. 그 결과 평균 일치도는 94%로 나타났다. 불일치한 항목에 대해서는 두 명의 연구자가 문헌을 재검토한 후, 충분한 논의를 거쳐 합의된 기준에 따라 최종 코딩을 확정하였다. 둘째, 그래프 데이터 추출의 경우, 정확성과 객관성을 확보하기 위해 전체 79개 실험 그래프 중 30%에 해당하는 24개의 그래프를 무작위로 추출하여 두 명의 연구자가 독립적으로 데이터를 디지털화하였다. 평가자 간 일치도는 점별 일치도 방식을 사용하였으며, 평균 일치도는 90%로 나타났다. 평가자 간 일치도 공식은 아래와 같다.
Ⅲ. 연구 결과
본 연구에서는 연구 단위의 식별성과 추적 가능성을 확보하고 메타분석 결과 제시의 체계성을 높이기 위해, <Table 1>과 같이 각 연구에 고유 코드를 부여하였다. 연구 코드는 저자명을 알파벳 순으로 정렬한 뒤 순차적으로 부여하였으며, 동일 연구 내 실험은 제시 순서에 따라 번호를 붙여 제시하였다. 총 20편의 연구와 비소거 기반 중재를 실시한 79건의 독립적 실험을 대상으로 대상자 특성, 중재 목표 행동 및 기능, 중재자 유형 및 중재 환경, 중재 전략 그리고 연구의 질적 특성을 중심으로 어떠한 양상을 보이는지 분석하여 <Table 2>에 제시하였다.
대상자는 총 79명으로, 연령별로는 6-12세 집단이 31명(39.2%)으로 가장 높은 비율을 보였으며, 13-21세 집단이 23명(29.1%)으로 그다음으로 높은 비율을 보였다. 5세 이하 집단은 12명(15.2%), 22세 이상 집단은 7명(8.9%)이었으며, 연령이 보고되지 않은 경우는 6명(7.6%)이었다. 장애 유형별로는 ASD가 27명(34.2%)으로 가장 높은 비율을 차지하였으며, ASD와 ID 또는 ASD와 ADHD를 포함한 중복장애(Multiple)가 26명(32.9%), ID가 19명(24.1%), 발달지연 및 언어지연을 포함한 기타(Other)가 7명(8.9%) 순으로 나타났다.
목표행동(종속변인)은 문제행동 감소와 대체행동 증가로 구분되었으며, 이 중 문제행동을 목표로 한 실험이 52건(65.8%), 대체행동을 목표로 한 실험은 27건(34.2%)이었다. 문제행동의 세부 유형은 자해행동(Self-injurious behavior, SIB), 공격성(Aggression), 부적절한 행동(Inappropriate behavior), 복합 행동(Multiple behavior)으로 분류되었다. 공격성은 타해 행동 및 물건 던지기 등의 행위를 포함하였으며, 부적절한 행동은 과제 이탈(Adelinis, Piazza & Goh, 2001)과 장소 이탈(DeLeon et al., 2000) 등을 포함하였다. 전체 52개 실험 중 자해행동이 16건(30.8%)으로 가장 많았으며, 그다음으로 공격성 15건(28.8%), 부적절한 행동 14건(26.9%), 복합 행동 7건(13.5%) 순으로 나타났다. 문제행동의 기능분석 결과, 회피(Demand/Escape) 기능이 22건(42.3%)으로 가장 높았으며, 획득(Tangible) 기능이 20건(38.5%), 관심(Attention) 기능이 6건(11.5%), 자동 강화(Automatic Reinforcement) 기능이 2건(3.8%), 복합(Multiple) 기능이 2건(3.8%)으로 확인되었다.
대체행동은 기능적 의사소통 반응(Functional Communication Response, FCR), 순응(Compliance), 적절한 행동(Appropriate behavior)으로 분류되었다. 전체 27개 실험 중 FCR이 18건(66.7%)으로 가장 많았으며, 순응이 7건(25.9%), 적절한 행동이 2건(7.4%)으로 나타났다. FCR에 포함된 의사소통 반응에는 구어적 요청(Alakhzami & Chitlyo, 2024; Borrero et al., 2010), 카드 전달 및 신체 접촉 반응(Adelinis et al., 2001; Kelley, Lerman & Van Camp, 2002) 등이 포함되었다. 순응은 교사의 지시 이행 또는 과제 참여 행동(Davis et al., 2018; Fleck, Bourret & Jehle, 2023)을 포함하였다. 대체행동의 기능분석 결과, 회피 기능이 16건(59.3%)으로 가장 높은 비율을 보였으며, 획득 기능이 8건(29.6%), 관심 기능이 1건(3.7%), 다중 기능이 2건(7.4%)으로 확인되었다. 다중 기능의 경우, 관심과 회피가 함께 작용한 사례 1건, 획득과 회피가 함께 나타난 사례 1건으로 구분되었다.
중재자는 치료사(Therapist)가 수행한 경우가 56건(70.9%)으로 가장 많았으며, 그다음으로 실험자(Experimenter) 9건(11.4%), 교사(Teacher) 8건(10.1%)이었다. 교사와 보호자 등 복수의 중재자가 함께 참여한 경우는 4건(5.1%), 중재자가 보고되지 않은 경우는 2건(2.5%)이었다. 중재 환경은 병원 또는 치료실(Hospital/Clinic)에서 실시된 경우가 42건(53.2%)으로 가장 많았으며, 그다음으로 학교(School) 29건(36.7%), 두 가지 이상의 복합 환경(Multiple)에서 실시 6건(7.6%), 기타 환경(Other) 2건(2.5%) 순으로 나타났다.
중재 전략(독립변인)은 대체행동 차별강화(Differential Reinforcement of Replacement Behavior, DRA)가 27건(34.2%)으로 가장 높은 비율을 보였으며, 그다음으로 기능적 의사소통 훈련(Functional Communication Training, FCT) 단독 중재가 24건(30.4%)이었다. 비유관 강화(Noncontingent Reinforcement, NCR)는 7건(8.9%)으로 나타났으며, 다른행동 차별강화(Differential Reinforcement of Other Behavior, DRO)는 1건(1.3%)이었다. 다른 중재 전략과 함께 사용된 FCT는 9건(11.4%), DRA는 8건(10.1%)이었으며, FCT와 DRA를 함께 사용한 중재는 3건(3.8%)으로 확인되었다. FCT와 함께 사용된 중재 전략에는 ‘Demand Fading’ 및 ‘Delay Fading’이 포함되었으며, DRA와 함께 사용된 중재 전략은 대체행동 학습을 촉진하거나 문제행동과 대체행동 간의 강화 비율을 조정하는 전략이었다.
전체 79건 실험 중 유지(Maintenance) 효과를 평가한 연구는 20건(22.5%), 일반화(Generalization)를 평가한 연구는 10건(11.2%), 유지와 일반화를 모두 평가한 연구는 10건(11.2%)이었다. 관찰자 간 일치도(Inter-observer Agreement)를 보고한 연구는 71건(89.9%)이었으나 중재 충실도(Treatment Fidelity)를 보고한 연구는 10건(12.7%), 사회적 타당도(Social Validity)를 측정한 연구는 6건(7.6%)이었다. 대부분의 연구가 신뢰도 측정을 포함하였으나, 중재 충실도 및 사회적 타당도를 측정한 연구는 상대적으로 적었다.
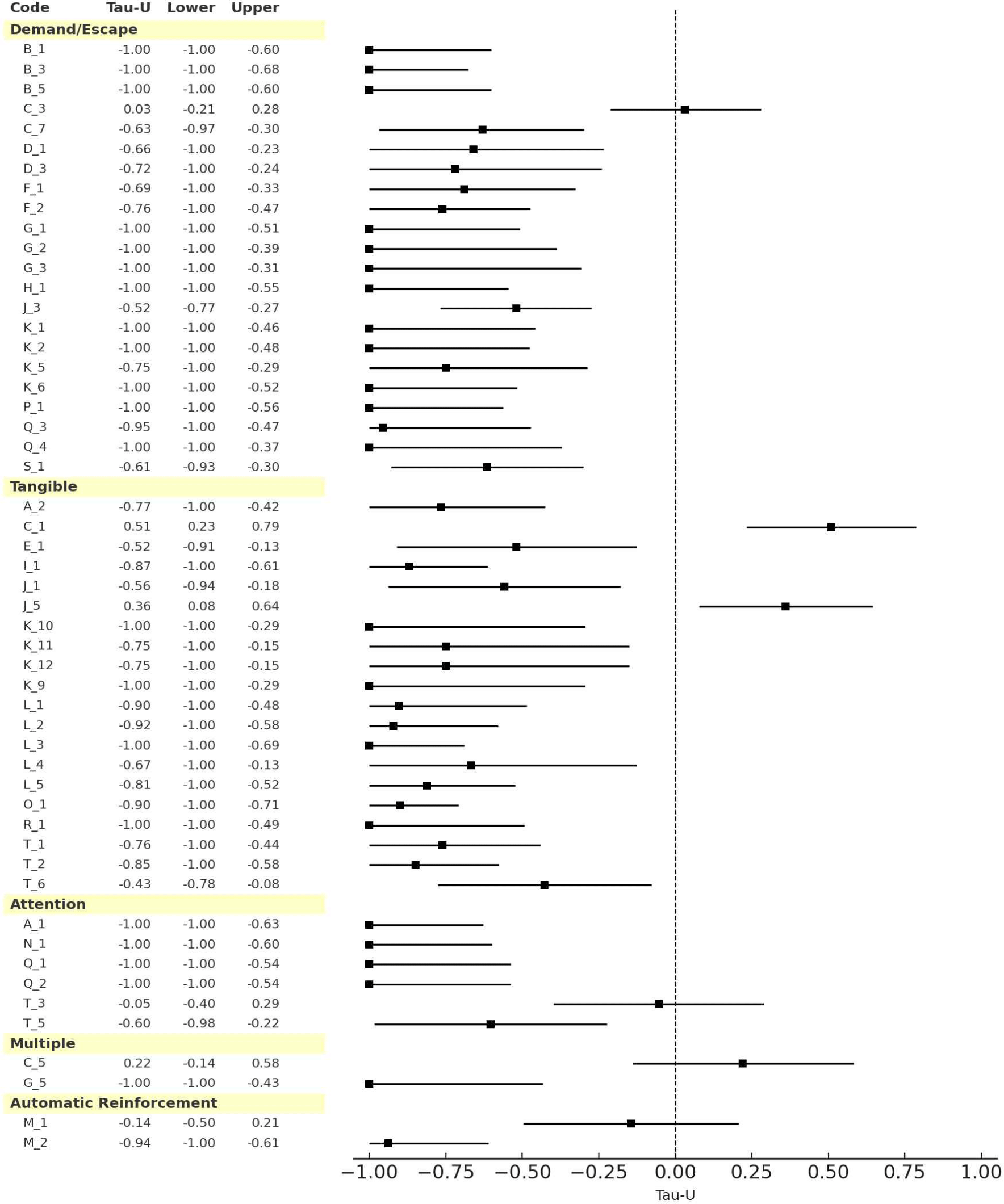
비소거 기반 중재의 효과 크기를 분석하기 위해 문제행동과 대체행동에 따른 중재 효과를 산출하였으며, Tau-U 지표를 활용한 메타분석을 통해 문제행동 및 대체행동에 대한 비소거 중재의 평균 효과 크기를 제시하였다. 또한 문제행동 기능별 하위집단의 경향을 분석하였다. 또한 개별 실험 단위의 Tau-U 값과 95% 신뢰구간을 숲그림(Figure 2, Figure 3)으로 제시하여 연구 간 효과 크기의 분포와 변동성을 시각적으로 검토할 수 있도록 하였다.
비소거 기반 중재가 문제행동 감소에 미치는 영향을 검증하기 위해 Tau-U 지표를 활용한 메타분석을 실시하였다. 전체 52건의 실험을 대상으로 랜덤효과모형(Random-effects model)을 적용한 결과는 <Table 3>에 제시하였다. 분석 결과, 비소거 기반 중재의 평균 효과 크기는 -0.75(95% CI [-0.84, -0.65])로 나타났으며, 기초선 대비 문제행동 감소가 통계적으로 유의한 수준이었다(p < .001). 이질성 검정 결과 Q(51) = 343.300, p < .001, I2 = 85.144로 나타나 실험 간 중재 효과 크기의 변동성이 높은 것으로 나타났다.
| Model | N | Mean | SE | 95% CI | Z | p | Q | df | I2 (%) |
|---|---|---|---|---|---|---|---|---|---|
| Random | 52 | -0.75 | 0.048 | [-0.84, -0.65] | -15.496 | .000 | 343.000 | 51 | 85.144 |
이러한 변동성에 기여한 경향을 더욱 구체적으로 살펴보기 위해 문제행동의 기능별(회피, 획득, 관심, 자동 강화, 다중 기능) 하위집단의 경향을 분석하여 <Tbale 4>에 제시하였다. 각 하위집단의 실험 수가 적어 통계적 검정을 위한 최소 기준(하위집단 당 5건 이상)을 충족하지 못하였으므로 효과 크기의 Mdn을 활용하여 기술적 경향을 요약하였다. 또한 결과 해석을 보완하고 중재 효과의 시각적 분포를 파악하기 위해 기능별 숲그림을 <Figure 2>에 제시하였다.
기능별 효과 크기의 Mdn과 분포를 살펴보면, 회피 기능의 경우 Mdn은 -1.00이고 전체 22건의 실험 중 13건(59.1%)이 -0.93 이하의 큰 효과를 보였으며, 4건(18.2%)은 -0.92 이상 -0.66 사이의 중간 수준 효과로 나타났으며, 4건(18.2%)은 -0.65 이상의 작은 효과를 보였으며, 1건(4.5%)은 +0.03으로 문제행동이 오히려 증가한 방향으로 보고되었다. 획득 기능에서는 Mdn이 -0.79로 전체 20건의 실험 중 4건(20.0%)은 -0.93 이하의 큰 효과를 보였으며, 11건(55.0%)이 -0.92 ~ -0.66 사이의 중간 수준 효과로 나타났고, 3건(15.0%)이 -0.65 이상의 작은 효과를 보였다. 2건(10.0%)은 양수 방향(0.36, 0.51)으로 문제행동이 오히려 증가한 것으로 보고되었다. 효과 크기의 범위는 -1.00에서 +0.51까지로 폭넓게 분포되어 있다. 관심 기능에서는 Mdn은 -1.00로 총 6건의 연구 중 4건(66.7%)이 -1.00의 매우 큰 효과를, 2건(33.3%)이 -0.60과 -0.05로 작은 수준 효과를 보였으며, 모든 연구가 음(-)의 방향으로 비교적 일관된 분포를 보였다. 자동 강화 기능은 2건으로 Mdn은 -0.54로 나타났으며, 큰 효과 크기 1건(50%)과 작은 효과 크기 1건(50%)으로 나타났다. 다중 기능은 2건으로 Mdn은 -0.39로 한 연구에서는 -1.00으로 큰 감소 효과가, 다른 한 연구에서는 +0.22로 증가 효과가 나타나 상반된 결과를 보였다. 95% 신뢰구간의 폭이 대부분의 연구에서 넓게 나타나 연구 간 효과 크기의 변동성이 큰 것으로 보인다.
비소거 기반 중재가 대체행동 증가에 미치는 영향을 검증하기 위해 Tau-U 지표를 활용한 메타분석을 실시하였다. 전체 27건의 실험을 대상으로 랜덤효과모형을 적용한 결과는 <Table 5>에 제시하였다. 분석 결과, 비소거 기반 중재의 평균 효과 크기는 0.73(95% CI [0.62, 0.85])로 나타났으며, 기초선 대비 대체행동의 향상이 통계적으로 유의하였다(p < .001). 이질성 검정 결과 Q(26) = 162.041, p < .001, I2 = 83.955으로 나타나, 연구 간 효과 크기에 유의한 변동성이 존재하는 것으로 확인되었다.
| Model | N | Mean | SE | 95% CI | Z | p | Q | df | I2 (%) |
|---|---|---|---|---|---|---|---|---|---|
| Random | 27 | 0.73 | 0.059 | [0.62, 0.85] | 12.464 | .000 | 162.041 | 26 | 83.955 |
이러한 변동성에 기여한 경향을 살펴보기 위해 대체행동의 기능별(회피, 획득, 관심, 다중 기능) 하위집단의 경향을 분석하여 <Table 6>에 제시하였다. 문제행동과 마찬가지로 하위집단별 실험 수가 통계적 검정을 위한 최소 기준을 충족하지 못해 통계적 검정은 수행하지 못하였으나, 각 하위 유형별 효과 크기의 Mdn을 활용하여 기술적 경향을 요약하였다. 또한 결과 해석의 보완과 중재 효과의 시각적 분포 확인을 위해 기능별 숲그림을 <Figure 3>에 제시하였다. 기능별 효과 크기의 Mdn과 분포를 살펴보면, 회피 기능의 경우 Mdn은 0.72로 전체 16건의 실험 중 7건(43.8%)이 0.93 이상의 큰 효과를 보였고, 1건(6.3%)은 0.66 ~ 0.92 범위의 중간 효과, 6건(37.5%)은 0.65 이하의 작은 효과를 나타냈다. 또한 2건(12.5%)에서는 오히려 문제행동이 증가한 것으로 나타났다. 대체행동이 전반적으로 증가하는 경향을 보였으나, 효과 크기 간 편차가 확인되었다. 획득 기능에서는 Mdn이 0.93으로, 8건 중 5건(62.5%)이 0.93 이상의 큰 효과를 보였으며, 1건(12.5%)은 0.60으로 작은 효과를 나타냈으며, 1건(12.5%)에서는 오히려 문제행동이 증가한 것으로 나타났다. 다중 기능은 2건(관심과 회피, 획득과 회피)이 포함되었는데 한 실험은 중간 효과(0.83), 다른 실험은 큰 효과(1.00)를 나타냈으며, Mdn은 0.92로 산출되었다. 관심 기능은 단일 연구만 포함되어 효과 크기는 0.64로 보고되었으며, 작은 효과 범주에 해당하였다. 대부분의 연구에서 95% 신뢰구간의 범위가 넓게 나타나 연구 간 효과 크기의 변동성이 큰 것으로 보인다.
| Function | N (%) | Tau-U Mdn | Range (Min ~ Max) |
|---|---|---|---|
| Demand/Escape | 16 (59.3) | 0.72 | (-0.14 ~ 1.00) |
| Tangible | 8 (29.6) | 0.93 | (-0.09 ~ 1.00) |
| Attention | 1 (3.7) | 0.64 | (0.64 ~ 0.64) |
| Multiple | 2 (7.4) | 0.92 | (0.83 ~ 1.00) |
비소거 기반 중재의 전반적 효과를 파악한 후 주제 요인별로 중재 효과의 경향을 추가로 분석하였다. 분석 대상은 전체 문제행동과 대체행동의 평균 효과 크기를 중심으로 각 요인(예: 연령, 장애 유형, 중재자, 중재 환경, 중재 방법 등)에 따른 효과 크기의 변화를 검토하였다. 각 하위 요인별 효과 크기는 Mdn과 범위를 활용하여 기술적으로 제시하였으며, 세부 결과는 <Table 7>에 제시하였다.
연령별 분석 결과, 5세 이하 집단은 Mdn = -1.00으로 큰 효과였으며, 6-12세 집단은 Mdn = -0.90으로 중간 효과를 보였다. 13-21세 집단은 Mdn = -1.00으로 큰 효과를 보였고, 22세 이상 집단은 Mdn = -0.60으로 상대적으로 작은 효과를 보였다. 연령 미보고 집단 또한 Mdn = -0.52로 상대적으로 작은 효과를 보였다. 장애 유형별로는 ASD, 중복장애, 기타 장애유형 집단 모두 Mdn = -1.00으로 큰 효과를 보였으며, ID 집단은 Mdn = -0.58으로 다른 장애 유형보다 작은 효과를 보였다.
중재자 유형에 따른 분석 결과, 치료사가 중재한 경우 Mdn = -0.75로 중간 효과 크기로 나타났다. 연구 실험자와 교사가 중재한 경우는 모두 Mdn = -1.00으로 다른 중재자 유형에 비해 상대적으로 큰 효과를 보였으며, 두 명 이상의 중재자가 개입한 경우, 또한 Mdn = -1.00으로 큰 효과를 보였다. 미보고 항목은 Mdn = -0.73로 중간 효과를 보였다. 중재 환경별로는 병원·클리닉 환경이 Mdn = -0.76으로 중간 효과를 보였으며, 학교 환경과 다중 환경은 모두 Mdn = -1.00으로 다른 환경 보다 큰 효과를 보였다. 기타 환경은 Mdn = -0.87로 중간 효과를 보였다. 중재 방법별로는 FCT 병합 중재가 Mdn = -1.00으로 상대적으로 큰 효과를 보였고, DRA 단독 중재 역시 Mdn = -0.95으로 큰 효과를 보였다. NCR 중재는 Mdn = -0.90로 중간 효과를 보였으며 FCT 단독 중재 역시 Mdn = -0.85로 중간 효과를 보였다. DRA 병합 중재는 Mdn = -0.31으로 작은 효과를 보였으며, DRO 단독 중재는 Mdn = -0.52로 작은 효과를 보였다.
연령별 분석 결과, 5세 이하 집단은 Mdn = 1.00으로 상대적으로 큰 효과로 나타났으며, 6-12세 집단은 Mdn = 0.95로 큰 효과를 보였다. 13-21세 집단은 Mdn = 0.83으로 중간 효과를, 22세 이상 집단은 Mdn = 0.62로 작은 효과를 보였다. 연령 미보고 집단은 Mdn = 0.63으로 작은 효과를 보였다. 장애 유형별로는 ASD 집단이 Mdn = 1.00으로 큰 효과를, 중복장애 집단이 Mdn = 0.95로 큰 효과를 보였다. 기타 장애유형은 Mdn = 0.83으로 중간 효과를, ID 집단은 Mdn = 0.61로 다른 장애 유형보다 작은 효과를 보였다.
중재자 유형별 분석 결과, 연구 실험자와 교사가 중재한 경우는 Mdn = 1.00으로 다른 중재자보다 큰 효과를 보였으며. 치료사가 중재한 경우는 Mdn = 0.63으로 작은 효과를 보였다. 중재 환경별로는 다중 환경이 Mdn = 1.00으로 상대적으로 큰 효과를 보였다. 병원·클리닉 환경은 Mdn = 0.81으로 중간 효과를, 학교 환경은 Mdn = 0.76으로 중간 효과로 나타났다. 기타 환경은 Mdn = 0.90으로 중간 효과를 보였다. 중재 방법별 분석 결과, FCT 병합 중재가 Mdn = 1.00으로 가장 큰 효과를 보였다. FCT 단독 중재는 Mdn = 0.89로 중간 효과를, DRA 병합 중재는 Mdn = 0.71로 중간 수준의 효과를 보였다. DRA 단독 중재는 Mdn = 0.47로 상대적으로 작은 효과가 나타났다.
Ⅳ. 논의 및 제언
본 연구는 소거 절차를 적용하지 않은 비소거 기반 문제행동 중재의 단일대상연구를 체계적으로 분석하여, 그 특성과 경향을 분석하고 중재 효과를 정량적으로 검증하고자 하였다. 이를 위해 52건의 문제행동 중재 실험과 27건의 대체행동 중재 실험, 총 79건의 단일대상실험에서 보고된 특성 자료를 수집하였으며, 문제행동 및 대체행동의 변화를 Tau-U 지표를 활용한 메타분석과 기술통계적 비교를 통해 분석하였다. 이러한 절차를 통해 비소거 기반 중재의 효과를 객관적으로 평가하고, 나아가 현장 적용 가능성과 중재 전략으로서의 실천적 의의를 논의하고자 하였다.
분석된 연구들의 일반적 특성을 살펴보면, 비소거 기반 중재는 주로 학령기 아동 및 청소년을 대상으로 한 ASD 또는 중복장애 아동의 문제행동 중재를 중심으로 이루어진 경향이 나타났다. 연령별로는 6-12세(39.2%)와 13-21세(29.1%)가 가장 많았으며, 참여자의 대부분이 ASD(31.9%) 또는 중복장애(31.9%) 진단받은 아동이었다. 이러한 경향은 Trump et al.(2020)의 연구에서도 일관되게 나타났다. 그들의 체계적 분석에 따르면, 전체 111명의 참여자 중에서도 6-12세 아동(53.2%)이 가장 많았고, 중도-최중도 ID(34%) 및 중복장애(24%) 참여자가 주요 집단으로 보고되었다.
문제행동의 목표 유형에서도 유사한 양상이 관찰되었다. 본 연구에서는 자해행동(30.8%)과 공격행동(28.8%)이, Trump et al.(2020)의 연구에서는 복합 행동(47.7%)과 공격행동(20.7%)이 높은 비율을 차지하였다. 이는 두 연구 모두 자신이나 타인의 신체적 위험을 유발하는 행동을 주요 중재 대상으로 하고 있음을 보여준다. 반면 대체행동 유형은 두 연구 모두 FCR이 가장 높은 비중을 차지하였는데(본 연구 66.7%, Trump et al., 2020 73%), 이는 소거 절차를 사용하지 않더라도 적절한 의사소통 기술을 강화하는 비율을 문제행동보다 더 높게 배분하는 접근이 비소거 기반 중재의 핵심 전략으로 자리 잡고 있음을 보여준다.
행동의 기능 측면에서도 유사한 패턴이 나타났다. 본 연구에서는 회피(48.1%)와 획득(35.4%) 기능이 높은 빈도를 보였으며, Trump et al.(2020)의 연구에서도 회피(48.6%)와 획득(18%) 기능이 주요하게 보고되었다. 특히 회피 기능의 높은 비중은 비소거 기반 절차가 지시나 요구 상황에서의 회피 행동을 보다 안전하고 안정적으로 조정할 수 있는 전략으로 활용될 수 있음을 시사한다. 이는 소거 절차가 동반될 경우 회피 반응이나 이차적 정서 반응이 일시적으로 악화될 수 있다는 점을 고려할 때, 비소거 기반 접근이 더 지속 가능하고 윤리적으로 수용 가능한 대안 절차임을 의미한다.
중재자 및 환경에서는 두 연구 간 일부 차이가 관찰되었다. 본 연구에서 치료사(70.9%)가 대부분의 중재를 수행하고 중재 환경의 중심이 병원·치료실 환경(53.1%)이었던 것과 마찬가지로 Trump et al.(2020)의 연구에서도 치료사(67.6%)와 병원·입원환경(45.9%)이 다수를 차지하였다. 그러나 학교 환경(36.7%)과 교사 중재(10.1%)의 비중은 Trump et al.(2020) 연구(20%, 6.3%)보다 그 비중이 현저히 높게 나타났다. 이는 비소거 기반 중재가 임상 현장을 넘어 교육 현장으로 확대 적용되고 있음을 보여주는 변화로 해석된다. 특히 교사가 직접 중재자로 참여하는 사례가 증가하고 있다는 점은 비소거 절차가 현장 접근성과 실용성이 높은 중재 전략으로 발전하고 있음을 시사한다.
질적 특성(유지, 일반화, 관찰자 간 신뢰도, 중재 충실도, 사회적 타당도) 면에서 유지 효과를 평가한 연구는 22.5%, 일반화를 평가한 연구는 11.2%였으며, 두 가지를 모두 평가한 연구는 11.2%로 확인되었다. 또한 관찰자 간 신뢰도는 89.9%의 연구에서 보고되었고, 중재 충실도는 12.7%, 사회적 타당도는 7.6%의 연구에서만 확인되었다. Trump et al.(2020) 역시 SCARF 체계를 활용하여 비소거 기반 중재 연구의 질적 특성을 분석하였는데, 전체 109건 실험 중 일반화가 11%(12건), 유지가 13%(14건)에서 보고되어 본 연구와 유사한 수준을 보였다. 다만 그들은 모든 연구에서 관찰자 간 신뢰도를 수집하였으며, 42%의 연구에서 중재 충실도를 보고하였고, 이 중 80% 이상이 높은 수준의 절차적 충실도를 유지한 것으로 나타났다. 이들 연구에서는 사회적 타당도에 대한 보고는 이루어지지 않았다. 이에 비해 본 연구에서는 관찰자 간 신뢰도 확보 비율은 유사하였으나, 중재 충실도 보고 비율은 낮게 나타났다. 이는 비소거 기반 중재 연구들이 관찰 신뢰도의 확보와 유지·일반화 평가를 통해 실험적 신뢰성과 실천적 타당성을 강화하고 있음을 보여준다. 다만 중재 충실도 및 사회적 타당도 측면에서는 상대적으로 낮은 보고 비율이 확인되어 향후에는 절차적 충실도 및 중재 전략의 수용 가능성에 대한 체계적 검증이 강화될 필요가 있다.
비소거 기반 중재는 전반적으로 문제행동 감소에 유의한 효과를 보였다. 평균 효과 크기는 -0.75로, 기초선 대비 문제행동의 감소가 통계적으로 유의하였으나 그 효과 크기는 중간 효과에 해당하였다. 메타분석 결과, 실험 간 효과 크기에서 높은 이질성이 확인되었으며(I2= 85.144), 이에 따라 전체 평균 효과 크기의 해석은 신중하게 접근할 필요가 있다. 이는 중재 효과가 다양한 실험 조건에 따라 상이하게 나타날 수 있음을 시사한다. 따라서 비소거 기반 절차는 문제행동 감소에 일정 수준의 효과를 보이지만, 그 효과의 안정성과 일관성은 제한적일 수 있다.
행동 기능별로 살펴보면, 본 연구에서는 관심 기능의 문제행동에서 가장 안정적이고 일관된 감소 효과의 경향이 관찰되었다. 모든 실험이 문제행동 감소 방향으로 분포하였고, 신뢰구간의 폭 또한 상대적으로 좁아 효과의 일관성이 높았다. 이는 관심 기능의 문제행동이 적절한 관심 요청과 같은 FCR로 전환되기 용이함을 보여준다. 다시 말해, 강화의 비율을 대체행동에 유리하게 조정함으로써 문제행동 대신 대체행동이 선택되는 경향이 높아지게 되어 소거 절차를 사용하지 않고도 문제행동을 안정적으로 감소시킬 수 있음을 의미한다. 반면 Trump et al.(2020)에서는 관심 기능 행동의 37%에서 긍정적 효과가, 63%에서 부정적 혹은 미약한 효과가 보고되어 본 연구의 결과와는 상이한 경향을 보였다. 즉, Trump et al.(2020) 연구에서는 관심 기능의 중재 효과가 절반 이하의 비율로 제한되었으나, 본 연구에서는 동일한 기능에서 더 안정적이고 일관된 감소 효과가 관찰되었다. 이는 표본 구성이나 중재 절차의 다양성, 또는 강화의 질적 조정 여부가 영향을 미쳤을 가능성을 시사한다.
회피 기능 행동은 전반적으로 감소하는 경향이 나타났으나, 연구 간 효과 크기에는 비교적 큰 편차가 있었다. 일부 연구에서는 큰 효과가 보고되었으나, 다른 연구에서는 중간 효과에 그치거나 오히려 증가하는 사례도 보고되었다. 이는 과제 요구 강도나 강화 비율 등 중재의 세부 요소에 따라 효과가 달라졌을 가능성을 시사한다. 특히 비소거 절차에서는 문제행동에 회피 기회를 얻을 수 있으므로, 요구 강도의 조정이나 강화 비율의 조정만으로는 행동 감소 효과가 안정되게 일어나지 못할 가능성이 있다. Trump et al.(2020) 연구에서도 회피 기능 행동의 35%만이 긍정적 효과를 보였고, 65%는 부정적 혹은 미약한 효과로 보고되어, 본 연구의 효과는 존재하되 안정적이지 않다는 결과와 유사한 양상을 보였다.
획득 기능 행동에서는 효과의 변동성이 가장 크게 나타났다. 일부 연구에서는 뚜렷한 감소 효과가 보고되었으나, 다른 연구에서는 오히려 문제행동이 증가하는 결과가 확인되었다. 이는 문제행동에 대한 강화 자극(예: 장난감, 음식 등) 제공이 여전히 가능하므로 새롭게 학습되고 있는 대체행동이 기능적 관계를 확보하는 데 다른 기능들보다 더 어려움을 보이는 것으로 해석된다. 따라서 획득 기능의 행동에 대해서는 강화 제공 시점과 비율을 면밀히 조정하고, 이를 보완할 수 있는 중재 전략을 병행할 필요가 있다. Trump et al.(2020) 연구에서도 획득 기능 행동의 긍정적 효과가 35%, 부정적 혹은 미약한 효과가 65%로 보고되어, 본 연구보다 더 적은 효과의 경향을 보였다.
자동 강화 기능의 행동 또한 효과의 변동성이 크게 나타났다. 1건의 연구에서는 큰 효과 크기를 나타냈으나 다른 연구에서는 작은 효과 크기를 나타냈다. Trump et al.(2020) 연구에서도 자동 강화 기능 행동의 긍정적 효과가 1건, 부정적 혹은 미약한 효과가 1건으로 보고되어 본 연구와 동일한 결과를 보였다. 마지막으로 다중 기능의 행동은 두 건의 연구에서 각각 상반된 결과가 보고되어 감소 효과의 일관성이 가장 낮았다. Trump et al.(2020) 연구에서도 다중 기능 행동의 긍정적 효과율이 31%, 부정적 혹은 미약한 효과가 69%로 나타났다. 특히 다중 기능의 경우, 여러 강화 요인이 동시에 작용함에 따라 중재 구성요소의 복잡성이 증가하고, 그로 인한 효과의 변동성이 확대될 가능성이 있다. 그러나 자동 강화 기능이나 다중 기능의 경우 이들 기능을 다룬 연구의 수가 매우 제한적이므로 해당 결과에 대한 일반화에는 주의가 필요하다.
비소거 기반 중재는 대체행동의 증가에 있어서도 전반적으로 유의한 효과를 보였다. 평균 효과 크기(Tau-U = 0.73)는 중간 효과에 해당하였으며, 기초선 대비 유의한 향상이 확인되었다. 이는 소거 절차를 사용하지 않더라도 적절히 강화 계획을 조정함으로써 대체행동을 촉진할 수 있음을 시사한다. 다만, 연구 간 이질성(I2= 83.955)이 매우 높은 수준으로 나타나, 중재 효과의 크기가 여러 가지 중재 조건에 따라 상당히 달라졌음을 의미한다.
행동 기능별 경향을 살펴보면, 회피 기능과 획득 기능에서 대체행동 증가 효과가 나타났다. 특히 획득 기능의 Mdn이 0.93으로 가장 높았고, 회피 기능의 경우 0.72로 중간 효과 크기를 보였다. 그러나 각 연구 간 효과 크기 차이가 크고 신뢰구간의 폭이 넓어, 중재의 구성 방식이나 과제 요구 강도, 강화의 질, 양, 강화 비율의 조정 등의 변인이 효과에 영향을 미쳤을 가능성이 높다. 관심 기능의 경우 1건의 실험으로 효과 크기가 0.64로 낮은 수준에 머물렀지만, 다중 기능에서는 2건의 실험이 중간 효과와 큰 효과를 보였다. 그러나 이 기능들은 실험 수가 매우 제한적이어서 일반화에는 주의가 필요하다.
Trump et al.(2020)의 경우, 대체행동을 행동의 기능이 아닌 행동유형에 따라 하위집단으로 구분하여 효과를 평가하였다. 분석 결과, 전반적으로 비소거 기반 중재는 대체행동 향상에 제한적인 효과를 보였으며, 긍정적 효과보다 부정적 혹은 미약한 효과가 더 많이 보고되었다. 구체적으로, 순응 행동을 목표로 한 연구의 41%에서 긍정적 효과가 보고됐지만, 59%에서는 효과가 부정적이거나 미약했다. FCR을 다룬 연구의 경우, 33%만이 긍정적 효과를 보여 전체의 3분의 2 이상(67%)에서 유의한 변화가 나타나지 않았다. 이러한 결과는 문제행동이 여전히 강화되고 있는 상황에서 FCR을 사용할 동기가 약화되었기 때문으로 해석할 수 있다. 한편, 두 가지 이상의 대체행동을 동시에 가르친 연구(Combination)는 2건 모두 긍정적 효과를 보여 100%의 성공률을 보였고, 기타 행동(Other) 범주는 단 17%만이 긍정적 효과를 보여 가장 낮은 수준이었다. 다만 다수의 대체행동을 병행하여 가르친 경우에는 효과가 뚜렷하게 나타나, 단일 행동에 집중한 중재보다 여러 기능적 대체행동을 통합적으로 훈련하는 접근이 더 높은 효율성을 가질 가능성을 시사하였다.
비소거 기반 중재의 문제행동 감소 및 대체행동 증가 효과는 연령, 장애 유형, 중재자, 중재 환경, 중재 방법에 따라 다소 상이한 경향이 나타났다. 문제행동의 경우 연령별로는 5세 이하와 13-21세 집단에서 Mdn = -1.00으로 가장 큰 효과가 보고되었고, 6-12세 집단도 Mdn = -0.90으로 중간 효과를 보였다. 반면, 22세 이상 집단(Mdn = -0.60)과 연령 미보고 집단(Mdn = -0.52)은 작은 효과를 보여 연령이 증가함에 따라 중재 효과가 다소 약화되는 경향을 보였다. 대체행동의 경우 연령별로는 5세 이하(Mdn = 1.00)와 6-12세 집단(Mdn = 0.95)에서 큰 효과가 보고되었으며, 13-21세 집단(Mdn = 0.83)은 중간 효과, 22세 이상(Mdn = 0.62)과 연령 미보고 집단(Mdn = 0.63)은 작은 효과를 보였다. Trump et al.(2020) 연구에서도 유사한 경향이 확인되었다. 5세 미만 아동의 47%에서 긍정적 효과가 보고된 반면, 22세 이상 집단에서는 23%로 가장 낮았다. 이러한 결과는 발달 초기일수록 문제행동에 대한 강화 이력이 상대적으로 짧고, 대체행동 학습의 가소성이 높아 새로운 강화 조건에 빠르게 적응할 수 있기 때문에 비소거 중재가 보다 효과적으로 작용할 수 있음을 시사한다. 반면, 성인 집단의 경우 문제행동이 오랜 기간 강화되어 행동 패턴이 고착화되고 여전히 문제행동이 강화를 받고 있는 상황에서 새로운 대체행동으로의 전환 동기가 상대적으로 낮아지기 때문에, 그 효과가 제한적일 수 있다.
장애 유형별로는 문제행동의 경우 ASD, 중복장애, 기타 장애유형 집단에서 모두 Mdn = -1.00으로 큰 효과가 보고되었으며, ID 집단은 Mdn = -0.58로 작은 효과를 보였다. 대체행동의 경우 비슷하게 ASD(Mdn = 1.00)와 중복장애(Mdn = 0.95) 집단에서 가장 높은 효과가 나타났으며, 기타 장애유형은 Mdn = 0.83으로 중간 효과, ID 집단은 Mdn = 0.61로 작은 효과를 보였다. 이는 ASD나 중복장애 아동의 문제행동이 비소거 기반 중재로 효과적으로 감소되고 대체행동이 증가하는 반면, ID 아동의 경우 두 행동 모두에 대해 효과가 제한적인 것으로 나타났다. Trump et al.(2020) 연구에서도 ASD 집단은 62%의 긍정적 효과를 보인 반면, 중도·최중도 ID는 11%, 경도·중등도 ID는 9%에 불과해 장애 유형에 따라 효과 차이가 있다는 점에서 본 연구와 일관된 경향을 나타냈다.
중재자에 따른 분석에서는 문제행동의 경우 연구자, 교사, 다수의 중재자가 개입한 경우 모두 Mdn = -1.00으로 큰 효과를 보인 반면, 치료사 단독 중재는 Mdn = -0.75로 중간 효과로 나타났다. 마찬가지로 대체행동의 경우도 연구자와 교사 주도 중재 모두 Mdn = 1.00으로 가장 큰 효과를 보였으나, 치료사 중재는 Mdn = 0.63으로 작은 효과를 보였다. Trump et al.(2020) 연구 역시 중재자 유형에 따라 명확한 차이를 보였는데, 교사나 보조교사가 중재한 경우 71%의 긍정적 효과가 보고되어 가장 높았고, 치료사는 31%, 연구자는 19%로 낮았다. 이는 자연스러운 일상적 상호작용 안에서 이루어진 교사 주도의 비소거 기반 중재가 보다 효과적일 수 있다는 점에서 두 연구는 일관된 결과를 보였다.
중재 환경별로는 문제행동의 경우 학교 및 다중 환경에서 큰 효과(Mdn = -1.00)가 관찰되었고, 병원· 치료실 환경은 Mdn = -0.76으로 중간 효과를 보였다. 대체행동의 경우 비슷하게 다중 환경(Mdn = 1.00)에서 가장 큰 효과가 나타났으며, 학교(Mdn = 0.76)와 병원·클리닉(Mdn = 0.81)은 중간 효과를 보였다. Trump 연구에서도 학교(59%)와 외래(outpatient, 67%), 다중 환경(63%)에서 비교적 높은 효과가 보고된 반면, 병원·입원 환경은 24%, 주간치료 프로그램(day treatment)은 27%로 낮은 수준이었다. 이는 다양한 생활 맥락에서 일반화가 가능한 비소거 기반 중재가 효과적이거나 또는 병원·치료실 환경에서 다루어지는 문제행동의 심각도의 수준이 높기 때문으로 해석된다.
중재 방법별로는 문제행동의 경우 FCT를 함께 진행한 중재(Mdn = -1.00)와 DRA 단독 중재(Mdn = -0.95)가 모두 큰 효과를 보였다. FCT 단독(Mdn = -0.85)과 NCR(Mdn = -0.90)은 중간 효과, DRA 통합(Mdn = -0.66)과 DRO 단독(Mdn = -0.52)은 작은 효과로 확인되었다. 대체행동의 경우 FCT 통합 중재가 Mdn = 1.00으로 가장 큰 효과를, FCT 단독 중재(Mdn = 0.89)와 DRA 통합 중재(Mdn = 0.71)는 중간 효과를 보인 반면, DRA 단독 중재(Mdn = 0.47)는 작은 효과를 보였다. Trump et al.(2020) 연구에서도 FCT 절차가 포함된 중재 조합에서 가장 높은 성공률이 보고되었으며, DRO 기반 절차는 효과가 제한적인 것으로 나타나 본 연구 결과와 일치된다. 이는 FCR을 포함한 중재가 강화 비율을 전환하는 데 유리하며, DRO 단독 전략만으로는 안정적인 행동 감소를 유도하기 어렵다는 점을 시사한다. 즉, 문제행동을 감소시키고 대체행동의 발생을 안정적으로 유지하기 위해서는 강화의 기능적 등가성과 강화 비율의 재조정이 중요함을 보여준다. 한편, 일부 연구에서는 문제행동이 감소하지 않거나 오히려 증가하는 결과가 나타났는데 이는 문제행동과 대체 행동이 동시에 강화되어 그 효과가 상쇄되는 경우(Borrero et al., 2010), 강화 비율이 대체행동보다 문제행동에 높게 설정된 경우(Briggs et al., 2019), 혹은 중재 환경의 변화로 중재 세션이 일시 중단된 경우(Borrero et al., 2010) 등이 해당한다.
본 연구의 주요 결과를 종합해 보면, 일반적 특성 면에서 비소거 기반 중재는 주로 학령기 아동과 청소년을 대상으로 한 ASD 또는 중복장애 아동의 문제행동 중재를 중심으로 이루어졌다. 문제행동의 유형은 자해행동과 공격행동이 높은 비율을 차지하였으며, 행동의 기능으로는 회피와 획득 기능이 가장 높은 빈도를 보였다. 중재자는 치료사가 가장 많았고, 중재 환경은 병원 및 치료실이 중심이었으며, 중재 전략 중에서는 FCT를 다른 전략과 병합한 경우 가장 높은 효과를 보였다. 연구의 질적 특성 면에서는 유지와 일반화를 모두 평가한 연구의 비중이 낮았고, 관찰자 간 신뢰도는 비교적 높았으나 중재 충실도 및 사회적 타당도는 낮은 경향을 보여 향후 연구에서는 유지 및 일반화 평가의 확대와 함께 중재 충실도와 사회적 타당도에 대한 체계적 검증이 강화될 필요가 있다.
메타분석 결과, 비소거 기반 중재는 문제행동의 감소와 대체행동의 증가 모두에서 통계적으로 유의한 효과를 보였다. 전체 효과 크기는 중간 효과로 나타났으나, 개별 실험 간 변동 폭이 커서 비소거 기반 중재 효과가 대상자의 특성, 문제행동의 기능 및 심각도, 환경적 맥락 등에 따라 다르게 나타날 수 있음을 시사한다. 따라서 향후 연구에서는 단일대상연구의 특성을 유지하면서도, 중재 절차와 강화 조건의 구체적 보고를 강화하여 연구 간 비교 가능성을 높일 필요가 있다. 주제 요인별 효과 크기 경향을 살펴보면, 비소거 기반 중재는 특히 발달 초기 아동, 교사·연구자 주도 환경, 그리고 FCT를 통합한 중재 전략 중심의 개입에서 높은 효과를 보였다. 반면, 성인 및 ID 집단, 다중 기능, 단독 전략 중재에서는 효과의 크기와 일관성이 낮아 비소거 기반 중재의 효과가 발달적 특성과 환경적 요인에 따라 달라질 수 있음이 확인되었다.
이에 본 연구는 소거 절차를 사용하지 않은 문제행동 중재의 단일대상연구를 체계적으로 분석하여, 비소거 기반 중재의 특성과 경향을 종합적으로 분석하고, 문제행동 감소와 대체행동 증가에 대한 효과를 정량적으로 제시하였다. 이를 통해 기존의 체계적 문헌연구를 확장하고, 현재까지 보고된 비소거 기반 중재의 실제적 효과에 대한 근거를 통계적으로 제시하였다는 점에서 학문적·임상적 의의가 있다. 다만, 본 연구는 다음과 같은 제한점을 가진다. 첫째, 표본 수의 제한과 연구 간 이질성으로 인해 하위집단 간 통계적 비교(메타-ANOVA)를 수행할 수 없었으며, 이에 따라 요인별 효과 크기의 차이를 통계적으로 검증하지 못하였다. 또한 연구 간 효과 크기의 변동성이 커, 메타분석을 통해 도출된 통합 효과 크기의 해석에는 신중함이 요구된다. 특히 이질성의 영향을 추가로 검토하기 위한 감도분석이나 이상치 탐색 등의 보완 절차가 수행되지 않아, 보고된 통합 효과 크기의 강건성 평가에 한계가 있다. 따라서 추후 연구에서는 이상치 제거, 모형 변경 등이 수행될 필요가 있다. 둘째, 데이터 추출 과정에 한계가 있었다. 원문 그래프를 디지털화하여 데이터를 수집하는 과정에서 기초선 자료의 부재 등 일부 원자료의 불충분으로 인해, 분석에 포함된 연구가 전체 비소거 기반 중재 연구의 경향을 완전히 대표하지 못했을 가능성이 있다. 셋째, 분석에 활용된 선행연구 중 중재 충실도를 구체적으로 보고한 연구의 비율이 낮아, 중재가 실제로 계획된 절차대로 수행되었는지를 체계적으로 검증할 근거가 부족하였다. 넷째, 하나의 연구 내에서 동일 대상자에게 복수의 실험이 포함된 경우, 연구 특성이 반복적으로 포함되어 기술통계가 실제 분포를 반영하지 못했을 가능성이 있다. 이러한 제한점에도 불구하고 본 연구는 비소거 기반 중재의 효과를 실증적으로 검토함으로써, 소거 절차 적용이 어려운 실제 임상 환경에서 활용 가능한 대안적 중재 전략으로서의 타당성을 제시하였다.
비소거 기반 중재는 TIC의 핵심 원리인 안전하고 예측할 수 있는 환경 조성과 부합한다는 점에서, 소거 절차로 인한 부정적 정서 반응이나 부작용을 최소화할 수 있는 윤리적 대안으로 주목된다. 따라서 임상 현장에서는 비소거 기반 접근을 심리적으로 안전한 중재 전략으로 적극 활용하되, 그 효과를 지속적으로 모니터링하고 개별화된 조정을 병행하는 것이 바람직하다. 또한, 순응 행동이나 기능적 의사소통과 같은 대체행동의 강화를 촉진하기 위해, 비소거 절차와 기능적으로 동등한 강화 자극의 제공에 더하여 추가적인 정적 강화 자극을 병행하는 전략(Carter, 2010; Slocum & Vollmer, 2015)이 효과적일 수 있다. 이러한 접근은 문제행동의 기능적 대체를 촉진하면서, 행동 감소와 대체 행동 증가에 효과적인 통합적 중재 프로그램이 될 가능성을 제시한다. 또한, 중재의 지속 가능성과 효과를 높이기 위해 사용되는 전략 중에서는 중재 대상자가 선호하는 방식을 선택하도록 하는 요소를 함께 고려할 필요가 있다(Trump et al., 2020). 한편, 중재 과정에서 비소거 절차를 적용하더라도, FCR을 가르치는 단계에서 문제행동에 대해 소거를 병행하는 사례가 보고된 바 있다(Fritz et al., 2017). 이는 실제 임상 환경에서는 비소거 기반 접근이 반드시 소거 절차의 완전한 배제를 의미하지 않으며, 중재의 단계나 목표에 따라 부분적으로 병합하여 사용할 수 있음을 보여준다. 또한 Hagopian et al.(1998)의 연구에서는 문제행동의 심각도에 따라 FCT나 비소거 절차만으로는 충분한 감소 효과를 보이지 않았으며, 소거나 경우에 따라 벌 전략을 병행했을 때 임상적으로 의미 있는 변화가 관찰되었다고 보고하였다. 이는 특정 기법의 우열을 논하기보다는 행동의 심각도와 위험 수준, 활용 가능한 자원의 범위, 그리고 윤리적 타당성을 종합적으로 고려하여 중재를 설계해야 함을 시사한다. 따라서 임상과 교육 현장에서는 중재의 효과성과 윤리적 정당성 간의 균형을 유지하면서, 비소거 기반 중재를 출발점으로 한 단계적 개입체계를 구축할 필요가 있다. 즉, 비소거 기반 중재와 같은 저위험·예방적 전략을 1차 수준에서 우선 적용하되, 그 효과가 제한적일 경우에는 소거 전략으로의 전환을 단계적으로 도입하는 접근이 요구된다. 따라서 본 연구에서 확인된 근거를 토대로 향후 연구에서는 비소거 기반 중재의 개인화된 적용 지침과 단계적 개입 기준을 구체화하여 임상과 교육 현장에서 실질적으로 활용 가능한 근거 기반 중재 체계로 발전시켜 나갈 필요가 있다.





