Ⅰ. 서론
2024년 특수교육통계에 의하면 특수교육대상학생 중 자폐스펙트럼장애 학생은 22,194명으로 전체 장애학생의 19.2%에 해당하고, 지적장애 학생 59,833명 다음으로 높은 비율을 차지하고 있다(Ministry of Education, 2024). 특히, 2020년 자폐스펙트럼장애 학생 수는 13,917명에서 5년 사이에 8,000명 이상 증가하여, 장애 유형 중 증가 폭이 제일 큰 것으로 나타났다(Ministry of Education, 2024). 이와 같은 급격한 증가 추세는 자폐스펙트럼장애에 대한 조기 진단의 확산과 사회적 인식의 변화, 그리고 통합교육의 확대 정책이 함께 적용한 결과로 해석할 수 있다. 현재 전체 자폐스펙트럼장애 학생의 절반 이상이 통합교육이 이루어지는 일반학급 시간제 특수학급 또는 완전 통합 형태로 배치되어 재학 중이다. 이는 자폐스펙트럼장애 학생이 또래와 함께 학습하며 사회적 상호작용을 경험할 수 있는 기회가 확대되고 있음을 의미한다. 그러나 자폐스펙트럼장애 학생은 사회적 상호작용과 의사소통 측면에서 질적인 어려움을 보이기 때문에 단순한 물리적 통합만으로는 충분하지 않다. 따라서 통합교육 환경에서의 성공적인 교육 경험을 지원하기 위한 체계적 중재가 필수적이다. 이러한 경험은 학생의 상호작용 및 의사소통 능력을 향상시키고, 나아가 청소년기를 거쳐 지역사회 적응으로 이어지는 발달적 전이에 긍정적인 영향을 미친다(Cho, 2016).
자폐스펙트럼장애 학생들의 사회적 의사소통과 상호작용의 제한은 다양한 사회적 상황을 이해하고 문제를 해결하는데 어려움으로 작용하고, 통합교육 환경에 적응하는데 제한으로 작용하여 문제행동으로 발현될 수 있다. 또한 DSM-5-TR에서 자폐스펙트럼장애를 진단하는 기준에는 제한적이고 반복적인 관심과 흥미를 보이는 것을 포함하고 있으므로 자폐스펙트럼장애 학생을 위한 일반 학교에서의 교육 방향은 그들의 개별화된 교육적 수준과 필요, 지원요구를 다양한 차원에서 고려하여 반영해야 한다(Park & Kim, 2022). 일반학교와 같은 통합된 환경에서 자폐스펙트럼장애 학생의 문제행동은 또래 관계에 부정적 영향을 미칠 뿐 아니라 전반적인 학교생활 적응에 어려움을 겪게 하는 주요 원인이 된다. Lim(2022)의 연구에 의하면, 중·고등학교 특수학급 학생들이 다양한 문제행동으로 인하여 통합학급 수업을 받지 못하고, 전일제 특수학급 형태의 수업 지원을 받는 경우에 특수교사는 제한된 환경에서 학생의 특성에 적합한 교육적 지원을 하지 못하는 상황에 대한 심리적 부담감을 가지고 있는 것으로 나타났다. 따라서 통합교육을 위한 선결 조건으로 자폐스펙트럼장애 학생의 문제행동에 대한 중재는 필수적이다.
자폐스펙트럼장애를 지닌 학생들은 시각적 정보처리에 강점을 가지나 짧은 주의집중과 상동행동 및 낮은 동기로 인해 학교에서의 수업 참여와 과제 수행에 어려움을 가진다. 또한 순차적 정보처리와 정보를 조직화하여 재구성하는 작업기억에도 제한이 있으므로 이를 반영한 학교에서의 수업 및 행동 중재 계획이 이루어져야 한다.
긍정적 행동지원(Positive Behavior Support; PBS)은 문제행동을 기능적으로 이해하고 예방적·체계적 접근을 통해 바람직한 행동을 강화하는 증거기반적 중재 전략이다. PBS는 단순한 행동 감소가 아니라 개인의 삶의 질 향상, 자기결정성 증진, 환경 조정 등을 포괄하며, 국내외 학교 현장에서 폭넓게 적용되고 있다(Sugai et al., 2012; Shin, 2019). 그러나 국내 고등학교 현장에서는 교과중심의 교수 구조와 인적 지원의 한계로 인해 PBS가 충분히 실행되지 못하는 경우가 많다.
구조화 교수를 상징하는 TEACCH(Treatment and Education of Autistic related Communication-Handicapped Children) 프로그램은 자폐스펙트럼장애 학생의 특성을 이해하고 그에 적합한 환경을 조성해 주는 전략 및 접근이다(Mesibov, Shea & Schopler, 2004). 자폐스펙트럼장애 학생의 제한점을 변화시키고자 하는 것이 아니라 그들의 시각적 정보처리라는 특성에 주목하여 그것을 과제나 작업을 통해 발휘하는 것을 중요시한다(Sasaki, 2019). TEACCH 프로그램을 지적 및 자폐스펙트럼장애 학생들을 대상으로 학교 상황에서 다수 적용한 결과, 학생들의 기능적 기술을 발전시키고, 스스로 작업을 시작하고 실행하며, 이러한 과정을 가르치는 교사의 삶의 질을 높이는 데도 도움이 될 수 있다고 언급하였다(Sanz-Cervera et al., 2018). 시각적 구조화는 자폐스펙트럼학생의 인지적 특성을 고려하여 물리적·시각적 단서를 통해 환경을 명확히 제시함으로써 예측 가능성을 높이고, 과제 이해를 돕는 교수전략이다(Mesibov & Shea, 2022). 시각적 구조화는 TEACCH 프로그램의 핵심 요소로, 시각적 일정표, 적업 시스템, 환경 구조화 등을 통해 학습자의 독립성을 향상시키는데 이러한 특성은 문제행동 예방과 자기조절 능력 향상에도 긍정적인 효과를 보인다(Park & Kim, 2022).
최근 자폐스펙트럼장애 학생의 행동중재에서 긍정적 행동지원(PBS)와 구조화 교수(TEACCH)의 통합적 접근이 강조되고 있다(Mesibov & Shea, 2022; Kim & Park, 2023). PBS가 기능적 행동평가에 기초한 예방적 중재를 강조한다면, TECCH는 시각적 구조화를 통해 과제 수행의 예측 가능성과 자율성을 높이는 교수전략에 초점을 둔다. 그러나 두 접근을 학교 맥락에서 실제 병행한 실험연구는 매우 제한적이다(Shin, 2024; Park & Kim, 2022). 반면 구조화 교수를 적용한 프로그램과 관련된 논문을 살펴보면 시각적 정보를 활용한 연구가 다수 수행되고 있다(Kang & Lee, 2015; Kang & Yang, 2019; Park & Choi, 2019). Shin(2024)은 시각적 지원 중심 개별차원 긍정적 행동지원이 최중증 성인 발달장애인의 공격행동 중재에 매우 효과적임을 보고하였다. Lim & Lee(2023)는 장소 이동시간에 어려움을 보이는 자폐스펙트럼장애 아동에게 시각적 스케줄(Visual schedules)을 사용하여 학교 내 이동수업 시 문제 행동 발생률이 감소되고, 중재가 종료된 이후에도 유지되었음을 실험을 통해 확인하였다.
그러나 초등 및 중학교를 중심으로 한 연구는 다수 존재하는 반면, 고등학교 특수학급 학생을 대상으로 한 시각적 구조화 기반 PBS 연구는 매우 제한적이다. 더욱 전일제 특수학급에 배치된 고등학생의 경우 문제 행동 강도가 높거나 과제 참여 어려움이 큰 사례가 많음에도 불구하고, 이들에게 시각적 구조화 기반 PBS를 적용한 연구는 부족한 실정이다.
따라서 본 연구는 시각적 구조화 기반 긍정적 행동지원이 자폐스펙트럼장애 고등학생의 수업참여 및 방해행동에 미치는 영향을 분석하는 것이다. 이를 위해 기능적 행동평가를 통해 문제행동의 원인을 파악하고, 시각적 구조화 전략과 PBS의 핵심요소를 통합한 개별 맞춤형 설계를 통해 고등학교 수준의 특수학급 교과 상황에서 통합적 효과를 검증하고자 한다.
첫째, 시각적 구조화 기반 긍정적 행동지원은 자폐스펙트럼장애 고등학생의 수업참여행동에 어떠한 영향을 미치는가?
둘째, 시각적 구조화 기반 긍정적 행동지원이 자폐스펙트럼장애 고등학생의 수업방해행동에 미치는 영향은 어떠한가?
셋째, 시각적 구조화 기반 긍정적 행동지원에 대한 교사 및 학부모의 사회적 타당도는 어떠한가?
Ⅱ. 연구 방법
본 연구에 참여한 학생은 경기도 소재 A 고등학교 1학년(만 15세) 1명으로 자폐스펙트럼장애 학생이다.
해당 연구에 참여 학생은 다음과 같은 기준으로 선정되었다.
첫째, 자폐스펙트럼장애 특수교육대상자로 선정된 학생
둘째, 시간제 통합으로 특수학급에서 수업을 받고 있는 고등학생
셋째, 수업 시간에 혼자 독립적으로 과제 수행이 어려운 학생
넷째, 학급 학생의 부모 모두가 연구 참여를 서면 동의한 학급
해당 연구 참여자의 기본적인 정보는 <Table 1>과 같다.
| Age/Gender | Diagnostic name | Eyberg Child Behavior Test | CARS | NISE-K·ABS |
|---|---|---|---|---|
| 15/female | Autism spectrum disorder | Problem Behavior Depth Score: 172 Number of Problem Actions: 17 |
49 (serious) | 39 |
본 연구의 참여자는 Eyberg Child Behavior Inventory(ECBI)에서 문제행동 심각도 점수(Problem Behavior Intensity Score)가 172점, 문제행동 수(Number of Problem Behaviors)가 17개로 나타났다. ECBI의 Intensity 점수는 평균 90-110점을 정상 범위로 보며(Abidin & Jenkins, 1992), 131점 이상은 임상적 개입이 요구되는 수준으로 해석된다(Burns & Patterson, 2001). 이에 비추어 볼 때, 참여자의 172점은 임상 기준을 크게 상회 하는 높은 수준의 문제행동 빈도 및 강도를 시사한다. 또한 CARS(Childhood Autism Rating Scale)점수 49점은 Schopler, Reichler & Renner(1988)가 제시한 해석 기준에서 중증 자폐범주에 해당하며, 이는 전반적인 사회적 의사소통 및 행동의 어려움이 뚜렷한 수준임을 의미한다. 아울러 NISE-K·ABS 점수 39점은 도구의 상한 연령이 16세임을 감안할 때(KEDI, 2002) 일상생활기술 전반에서 중등도 수준의 지속적 지원이 필요한 기능적 의존도를 나타낸다. 특히 자기관리, 이동, 사회적 행동 등 다양한 적응행동 영역에서 또래 연령 수준에 비해 상당한 지체가 있음을 보여준다. 이러한 결과는 참여자가 적응 기능 전반에서 제한을 보이며, 학교 및 가정 환경에서 구조화된 행동지원, 적응기술 교수, 지속적 모니터링을 포함한 중재가 필요함을 시사한다. 특히 높은 문제행동 강도와 중증 자폐 특성은 일상적 루틴, 예측 가능한 환경 조성, 대체행동 교수 등과 같은 체계적인 PBS 기반 지원체계가 요구됨을 뒷받침한다.
본 연구에 참여한 학생의 학교생활과 관련되어 직접 관찰 및 비디오 영상 분석, 담임교사 면담 등을 통해 수집된 연구 참여자의 영역별로 보이는 특성은 <Table 2>와 같다.
본 연구는 2025년 3월부터 7월까지 경기도 Y 고등학교 특수학급에서 실시되었다. 3월에는 긍정적 행동지원팀을 구성하고 표적 행동 선정, 관찰자 훈련, 사전 협의 등을 포함한 준비 단계를 진행하였다. 기초선 단계는 1회기부터 6회기까지 측정하였다. 중재 단계는 7회부터 24회기 까치 총 18회기에 걸쳐 실시되었으며, 중재는 선행사건 중재, 대체행동 교수, 강화 절차가 통합된 중다요소 중재로 구성하였다. 유지 단계는 중재 종료 1주 후에 25회기에 실시하였다. 중재 요소를 제거한 상태에서 학교의 일반적 지원(학습 수준에 적합한 과제 제공, 물리적 환경 조정 등)만을 유지하여 표적 행동의 지속 여부를 확인하였다. 일반화 단계는 각각 국어, 동아리 활동, 창의적 체험활동 시간에 걸쳐 간헐적으로 측정하였으며, 각 회기와 독립적 회기로 5~7회 실시하였다.
본 연구는 연구 대상학생이 입급되어 있는 경기도 Y 고등학교 특수학급에서 실시되었다. 고등학교 특수학급 수업 시간은 50분으로 구성되며, 연구 대상학생은 문제행동으로 인하여 통합학급 수업에는 참여하지 못하고 1교시∼7교시까지 특수학급에서 수업을 받는 전일제 특수교육대상자다.
해당 학생이 다니는 학교는 현재 경기도교육청의 스마트 교실 구축이 진행되고 있어 학교 내부 시설에 대한 공사가 진행되고 있으며 특수학급 교실도 기존 3개 학급에서 현재 1학급 10명의 특수학급 학생들이 수업을 받고 있는 상황이다. 특수학급에 들어가면 문 옆쪽으로 사물함이 있으며, 교실 안쪽에 학생들이 손을 씻을 수 있는 싱크대와 세면대가 설치되어 있다. 교실 앞쪽에는 TV와 컴퓨터 모니터가 연결되어 있으며 학생들은 개별 의자와 책상에 일렬로 두 줄씩 TV를 마주 보고 앉아 있다. 연구 대상학생은 문과 가장 가까운 자리에 앉아 있으며 벽면에는 책장과 진로 직업 수업과 관련한 교구들이 진열되어 있었다. 특수교사는 주로 TV 옆 모니터에서 서서 전체 특수학급 학생을 대상으로 수업을 진행하고 연구대상학생에 맞는 개별과제를 제시하거나 안내하지는 않고, 학생이 좋아하는 스티커를 줘서 수업시간에 자신의 자리에 앉아서 만질 수 있도록 하였다.
이 연구는 시각적 지원 기반 긍정적 행동지원을 독립변인으로, 특수학급 국어 시간, 동아리 시간, 창의적 체험활동 수업 시간에 대상학생의 표적행동인 수업방해행동 및 수업참여행동을 종속변인으로 설정하였다. 변인 간의 기능적 관계를 확인하기 위해 상황 간 중다기초선 설계(multiple baseline design across settings)를 활용하였다. 이 설계의 실시순서는 기초선, 중재, 유지 단계의 순서로 수행되었다.
표적 행동 변화를 파악하기 위해, 특수학급 국어 교과 시간(상황 A), 동아리 시간(상황 B), 창의적 체험활동 시간(상황 C)의 상황을 선정하였다. 이 세 가지 상황은 학생의 학업 중심 활동(국어), 실습 중심 활동(동아리), 자율 중심 수업(창의적 체험활동)을 각각 대표하는 수업으로, 연구 대상 학생의 학교생활 전반에서의 행동 변화를 다면적으로 확인하기에 적절하다고 판단하였다. 또한 세 상황 모두 학생이 실제로 참여하고 있는 특수학급 정규 수업으로, 일상적인 학습 맥락에서 행동을 자연스럽게 관찰할 수 있다는 점에서 학교 환경에서의 행동 특성을 파악하고 중재 효과의 일반화를 검증하기에 적절하였다. 연구 설계 실시 순서는 먼저 상황별로 기초선 자료를 체계적으로 수집하였다. 국어 교과 시간(상황 A)에서의 기초선 자료가 안정적으로 수집됨을 확인한 후에 시각적 지원 기반 긍정적 행동지원 중재를 단계적으로 적용하였다. 시각적 지원은 시각적 일정표, 과제 수행 순서 카드, 시각적 강화 단서 등으로 구성하였으며, 이를 통해 학생이 과제의 시작과 종료 시점 및 기대되는 행동 수준을 명확히 이해할 수 있도록 하였다. 국어 수업 상황에서 중재 후 행동 변화가 기초선 단계에 비해 연속적으로 안정된 향상 추세를 보이면, 다음 단계로 동아리 시간(상황 B)과 창의적 체험활동 시간(상황 C)에 동일한 절차로 중재를 순차적으로 적용하였다. 이러한 중다기초선 설계 절차는 각 상황에서의 행동 변화를 독립적으로 확인함으로써, 중재 효과의 내적 타당도를 높이기 위한 것이다. 관찰은 10초 간격으로 총 20분(1200초)동안 이루어졌으며, 120개의 간격으로 나누어 행동 발생 여부를 기록하였다.
중재 종료 시점은 대상 학생의 표적 행동이 연속 3회기 이상 유의미한 향상을 보이고, 그 변화가 80% 이상의 안정된 수준으로 유지될 때로 정하였다. 또한 중재 종료 후 1주일이 지난 시점에서 3회기에 걸쳐 동일한 관찰 절차로 표적 행동 자료를 수집하여, 중재 효과의 지속성을 검증하였다.
일반화 검증은 기초선, 중재, 유지 단계 전반에서 간헐적으로 실시하였다. 이때 중재가 아닌 특수교사가 동일한 절차로 중재를 적용하여, 중재 효과가 교사와 수업 상황 간에도 유지되는지를 확인함으로써 중재의 외적 타당도를 확보하였다.
긍정적 행동지원 중재를 위해 연구자인 특수교육지원센터 순회교사(연구자), 해당학교 특수교사, 특수교육 지원인력, 학부모, 통합학급 담임교사 총 5인으로 긍정적 행동지원팀을 조직하였다. 연구자는 국제행동분석자격인 BCBA (Board Certified Behavior Analyst)자격을 소지한 경력 19년차 특수교사이다. 팀 구성 후 각 구성원의 역할을 명확히 구분하고, 대상 학생의 행동 특성 및 중재 계획 수립을 위한 협의 과정을 단계적으로 진행하였다. 긍정적 행동지원팀은 중재 전 단계에서 학생의 행동 특성과 중재목표를 공유하였으며, 중재 진행 중에는 주 1회 협의회를 통해 행동변화의 경향을 점검하고 중재 절차를 보완·수정하였다. 이를 통해 학교와 가정, 전문가 간의 협력적 체계를 구축함으로써, 긍정적 행동지원의 실행 충실도와 일반화 가능성을 높이고자 하였다.
학생의 사전 정보를 파악하기 위해 기초 조사서 및 개별화교육계획, 선정 배치 시 학부모 및 담임교사 의견서, 진단 평가 과정에서의 심리학적 평가보고서 등 관련 문서를 재검토하였다. 또한 직접 정보를 얻기 위해 긍정적 행동지원팀 구성원을 대상으로 개별 및 소그룹 면담을 실시하였다. 이러한 문서 검토와 면담을 통해 학생의 발달 수준, 의사소통 및 인지 특성, 학습태도, 학교생활 적응 수준 등에 대한 배경 정보를 확인하였다. 대상 학생의 학부모와 특수학급 교사인 특수교사, 통합학급 담임교사, 지도사 및 사회복무요원 등 지원 인력과의 면담을 통해 대상 학생의 전반적인 행동 특성 및 제한점, 학교와 가정에서의 생활 양상을 파악하였다. 이를 통해 학생의 전반적인 행동 특성, 선호 활동, 제한점, 학교와 가정에서의 생활 양상, 문제행동 발생 맥락 등을 종합적으로 파악하였다.
학생이 보이는 문제행동을 전일제 수업을 받는 특수학급 수업 시간으로 한정하여 수업 중 자주 관찰되는 방해 행동의 핵심 기능을 행동기능 설문지(Questions About Behavioral Function; QABF)를 활용하여 평가하였다. QABF는 5가지 행동 기능 영역(관심획득, 회피, 강화제 획득, 자기자극, 신체적 기능)에 대해 교사와 보호자가 평가하는 도구(Matson & Vollmer, 1995)로, 본 연구에서는 특수교사와 보호자가 참여하였다. 면담과 기능평가 결과를 바탕으로 학생의 수업 방해행동을 목록화하여 주의산만 행동과 충동 행동으로 구분하였다. 이후 연구자는 각각의 행동 유형에 대해 행동기능 설문지(QABF)를 실시하였으며, 각 항목의 점수를 합산하여 5로 나누어 평균값을 산출하였다. 이와 같은 방법으로 수업 방해행동 중 주의 산만 행동은 회피 변인과 관련이 가장 높은 것으로 나타났으며, 충동 행동은 관심 변인과 가장 높은 관련성을 보이는 것으로 나타났다. 결과는 <Table 3>과 같다.
간접평가로 수집된 자료를 종합하면 대상 학생은 수업 시간에 혼잣말을 하거나 종이를 먹거나 다른 친구들을 지적하거나, 자리에서 일어나는 이탈 행동 등을 보였다. 이러한 행동을 주의산만 행동과 충동 행동으로 구분하여 분석한 결과 주의산만 행동의 주된 기능은 회피임을 확인하였다. 이는 과제가 어렵거나 지속 시간이 길어질 때, 또는 수업 활동이 지루하게 느껴지는 상황에서 해당 행동을 보인다는 직접 관찰 결과와 일치한다. 특히 학생은 과제가 제시되었지만 흥미가 없거나 수행 부담을 느낄 때 혼잣말, 스티커를 만지작 거리는 등의 주의산만 행동을 보였다. 또한 과제가 제공되지 않은 짧은 전환 시간이나 구조화되지 않은 수업 자료가 제공되기 전 과제수행에 대해 설명하는 상황에서도 동일한 행동이 관찰되었는데 이는 ‘과제 자체로부터의 회피’라기보다는 지루한 상황으로부터 벗어나기 위한 회피 기능으로 해석할 수 있다. 이러한 해석은 긍정적 행동지원팀의 기능평가 결과를 바탕으로 한 협의 과정에서도 동일하게 논의되어 기능 평가 적합성을 뒷받침한다.
충동 행동의 경우 교사에게 관심을 확득하는 것이 주요 기능으로 작용하며, 주로 교사가 다른 학생과 대화하거나 대상 학생에게 과제나 학습지를 제공하고, 다른 학생의 질문을 받아주거나 과제를 지도할 때 나타나는 것으로 확인되었다. 다음으로 대상 학생이 선호하는 강화제를 파악하기 위한 강화물 체크리스트 실시 결과 대상 학생이 선호하는 강화는 사회적 강화(교사와 또래의 관심, 언어적 칭찬, 하이파이브, 악수, 박수받기), 유형물(젤리, 스티커북, 끈끈이 풀, 클레이), 활동(비디오 e스포츠 게임, 그네타기, 마사지하기)으로 나타났다. 직접 관찰을 진행하기 전 자연스러운 상황에서 관찰 결과 예시는 <Table 4>와 같다.
수업방해행동을 관찰하고 평가하기 위하여 대상 학생의 특수학급 교과 시간과 동아리 시간에 특수교육지원센터 교사가 방문하여 수업을 참관하고 비디오로 녹화하였다. 직접 관찰을 통해 문제행동의 기능을 확인하기 위하여 특수학급 담임교사의 수업 시 나타나는 대상 학생의 수업방해행동에 대하여 A-B-C 행동 관찰을 실시하였다. 표적 행동이 발생할 때마다 행동 전후의 사건과 결과 및 행동과 직접적으로 관련된 사람과 장소 등을 상세히 기록하였다. 관찰된 자료를 분석한 결과, 대상학생과 개별적으로 수업이 진행되는 특수학급 수업시간에는 문제행동이 거의 나타나지 않았으나 2명 이상, 특히 자신의 행동을 지적하는 학생이 수업에 참여하는 상황에서는 반드시 문제행동이 발생하였다. 그리고 학생이 수업방해행동을 보인 후 교사가 보이는 후속 결과에 따라 대상학생의 문제행동은 멈추거나 계속되기도 하였다. 충동행동인 다른 친구 지적하기, 자신의 자리를 벗어나 교실 내를 돌아다니는 자리 이탈하기는 교사가 다른 학생과 대화를 하거나 과제를 개별적으로 지도 할 때 빈번히 나타났다. 직접적 기능평가를 통해 대상 학생은 과제가 혼자 수행하기 어렵거나 교사가 수업 내용을 설명할 때와 같이 지루한 상황에서 혼잣말이나 종이 먹기와 같은 주의산만 행동을 보이며 이를 통해 과제를 회피하려는 경향을 나타내는 것이 확인되었다. 교사가 다른 학생의 학습을 지도하거나 교사의 관심을 얻고자 할 때는 충동 행동을 나타내어 부정적 관심을 끌고자 하였다. 또한 대상 학생이 이러한 행동을 보일 때마다 교사가 언어적으로 반응하며 학습을 도와주거나 말을 건네며 그로 인해 학생이 교사의 관심 기능을 얻게 되는 것으로 추정할 수 있었다. 이는 간접평가 결과와 동일하게 나타났다.
긍정적 행동지원팀은 직·간접적 기능행동평가에서 얻은 내용을 바탕으로 대상학생이 보이는 행동에 대한 가설을 <Table 5>와 같이 설정하였다.
수업방해행동을 다시 두 가지 하위행동과 주의산만 행동과 충동행동으로 나누었고 각각의 행동의 기능인 회피와 관심 획득을 토대로 가설을 설정하였다.
기초선 기간에는 대상 학생에게 시각적 구조화를 활용한 긍정적 행동지원을 제공하지 않으며, 연속 3회기 이상 안정적인 기초선 반응이 나타날 때까지 관찰을 지속하고 행동의 빈도를 측정하여 수업방해행동과 수업참여행동의 발생률로 나타내었다. 매회기 50분의 수업 시간 중 수업 도입 15분과 정리 15분을 제외한 20분간의 수업시간을 비디오 촬영 후 녹화된 영상을 통해 해당 학생의 행동을 관찰하였으며, 일상적인 수업 상황에서 측정을 실시하였다. 관찰은 10초 간격으로 부분간격기록법(partial interval recoring)을 사용하였다.
시각적 구조화 기반 긍정적 행동지원 중재의 계획 및 실행은 특수교육지원센터 교사인 연구자(특수교사 경력 15년)가 수행하였다. 대상 학생의 기능평가 결과를 토대로 상황사건 및 선행사건 중재, 대체행동기술 중재, 후속결과의 계획을 수립하고 시각적 구조화를 활용한 개별차원의 긍정적 행동지원 중재를 실시하였다. 중재는 행동분석전문가 자격(BCBA)을 가진 경력 15년차 특수교사가 계획하였다. 중재는 시각적 일정표, 과제 순서 안내 카드, 시각적 강화 단서 등으로 구성되었다. 중재는 고등학교 특수학급 교실에서 국어, 동아리, 창의적 체험활동 수업시간에 주 3회 중재를 시행하였다. 종속변인인 수업참여행동의 증가와 수업방해행동 감소가 연속으로 유의미하게 나타나고 그 변화가 안정적인 추세를 연속 3회기 이상 보일 때까지 행동변화를 지속적으로 관찰하였다. 중재의 구체적 내용 및 방법은 <Table 6>과 같다.
중재 종료 후에도 시각적 구조화 기반 긍정적 행동지원의 중재 효과가 지속되는지 알아보기 위해 중재가 종료된 후 1주간의 휴식 기간을 갖고, 기초선과 동일하게 환경을 구성한 후 3회기 동안 유지 단계를 측정하였다.
중재의 일반화 효과를 확인하기 위해, 본 연구에서는 중재자가 아닌 해당 학교 특수교사가 특수학급 국어 시간, 동아리 활동, 창의적 체험활동 시간에 시각적 구조화 기반 긍정적 행동지원을 적용하여 중재를 실시하였다. 일반화 측정은 수업참여행동과 수업방해행동을 국어시간, 동아리 활동, 창의적 체험활동 시간에 실시하였으며 기초선, 중재, 유지 단계에 각각 간헐적으로 측정하였다. 일반화 측정 시 특수교사는 연구자가 제공한 시각적 구조 자료를 학생 책상 상단 및 교실 전면에 제시하고 과제 수행에 대한 시각적 안내 자료를 학생에게 제공하였으며, 대체행동 교수 및 강화를 제공하였다. 일반화 측정은 각 20분간 진행되었으며, 지원인력이 스마트폰을 사용하여 학생의 행동을 녹화하였다. 녹화 담당 지원인력은 연구자가 제공한 관찰 기준과 절차에 대한 사전 훈련을 받아 일관된 자료 수집이 가능하도록 하였다. 수집된 영상은 연구자가 10초 간격(8초 관찰, 2초 기록)의 부분간격법을 적용하여 분석하였으며, 각 관찰 간격에서 수업참여행동과 수업방해행동의 발생 여부를 기록하였다. 이러한 절차는 일반화 측정이 중재자의 직접 개입 없이도 표준화된 방식으로 수행되도록 하여, 중재 효과의 일반화를 검증할 수 있도록 하였다.
본 연구에서의 종속변인은 수업참여행동과 수업방해행동이다. 수업방해행동은 대상학생이 수업 중 자신 또는 또래의 학습이나 교사의 수업 진행을 방해하는 모든 행동을 의미하며, 행동 특성에 따라 주의산만 행동과 충동행동으로 세분화하였다. 수업참여행동은 교과 활동에 주의를 기울이거나 제시된 과제를 수행하는행동을 말하며, 수업방해행동과 동시에 발생할 수 없는 상반행동으로 정의하였다. 이러한 행동의 조작적 정의는 <Table 7>에 제시하였다. 두 행동의 발생률을 측정하기 위해 부분간격 기록법(partial interval recording)을 적용하였다. 관찰은 수업 시작 10분이 경과한 후부터 20분 동안 실시하였으며, 전체 관찰 시간은 10초 간격으로 총 120개의 관찰 구간(interval)으로 구성하였다. 각 관찰 구간은 8초 동안 행동을 관찰하고, 이어지는 2초 동안 기록하는 방식으로 이루어졌다. 10초 간격 × 20분(1,200초)은 총 120개의 구간을 구성하므로, 각 행동의 발생 여부를 코드화하기에 충분한 구조를 제공한다.
기능적으로 대비되는 두 행동은 이론적으로는 상반되나, 실제 수업 상황에서는 한 관찰 구간 내에서 두 행동이 연속적 혹은 겹치는 방식으로 나타날 가능성이 존재한다. 이러한 점을 고려하여 본 연구에서는 선행연구(Cooper et al., 2002; Lane, Oakes, & Ennis, 2010)의 기록 원칙을 참고하여, 동일 구간에서 두 행동이 모두 관찰될 가능성이 있는 경우 ‘방해행동(disruptive behavior)’을 우선적으로 기록하는 우선 기록 원칙(priority rule)을 설정하였다. 이는 방해행동이 교실 수업의 흐름을 중단시키는 보다 강도 높은 행동으로 간주되며, 행동지원 계획 수립 시 더 중요하게 고려되는 표적 행동이라는 점에 근거한다. 따라서 각 구간에서는 표적 행동이 발생하면 ‘+’, 발생하지 않으면 ‘-’로 기록하되, 동일 구간에 수업참여행동과 수업방해행동이 모두 나타날 경우 수업방해행동을 우선 기록하여 중복 코딩을 방지하였다. 이러한 절차는 단일 관찰 구간에 대해 일관된 판단 기준을 유지함으로써 자료의 신뢰도와 해석 가능성을 높이는 데 목적이 있다.
관찰 기록의 신뢰도를 확보하기 위하여 특수교육지원센터 교사와 특수교사가 각각 독립적으로 녹화된 영상을 시청하며 측정과 기록을 실시하였다. 연구자는 관찰자가 관찰을 실시하기 전 표적행동에 대한 조작적 정의를 정확히 확인시키고 관찰 방법을 숙지하도록 안내하였으며 관찰기간을 두어 대상학생의 수업 동영상을 보면서 일치도가 90% 이상 나올 때까지 두 명의 관찰자에게 관찰자 훈련을 실시하였다. 관찰자 간 일치도는 중재 실시 전 관찰자 훈련에서 쓴 자료를 제외하고 각 단계를 포함한 전체 회기 중에서 약 30%에 해당하는 회기를 무작위로 선정한 뒤 두 관찰자가 각각 독립적으로 작성하였다. 행동 발생에 대한 일치된 관찰 구간 수를 행동 발생에 대한 일치된 구간 수와 행동 발생에 대한 불일치된 관찰 구간 수를 합한 수치로 나눈 후 100을 곱하여 백분율로 관찰자 간 일치도를 산출하였다. 본 연구의 관찰자 간 일치도는 92.5(90.0∼100)로 나타났다.
중재 충실도는 연구자의 자기점검과 특수교사의 교차확인으로 평가하였다. 특수교사는 총 30회기 중 30% 구간을 표집하여 녹화 영상을 검토하고 중재 적용의 정확도를 위해 중재의 각 단계를 중재 전과 중재, 중재 후로 나누어 계획한 절차를 체크리스트(O, X)로 제작하였다. 중재 충실도 문항은 10문항으로 구성하였으며, 각 문항은 중재를 실시하는데 필수적인 요소들로 구성하였다. 실행 여부를 O, X로 확인하였고, O로 표시된 항목의 총 개수를 전체 개수로 나눈 다음 곱하기 100을 하여 중재 충실도 값을 확인하였다. 연구자의 중재 충실도 평균은 93.5%로 나타났다.
사회적 타당도는 중재 실행이 모두 끝난 후 특수교사 3명(경력 7년 이상)과 학부모 1명을 대상으로 실시하였다. 본 연구의 사회적 타당도는 Carroll, Kodak & Fisher, 2013이 개발한 척도를 참고하여 수정·보완하였다. 사회적 타당도 평가는 특수교사 3명(경력 7년 이상)과 학부모 1명이 참여하여, 중재 목표의 적절성, 절차의 실제적 타당성, 일반화 가능성, 중재 결과에 대한 만족 등을 5점 리커트 척도로 평가하였다. 평가자는 모두 해당 학생의 실제 수업 환경을 이해하고 있는 인력으로 구성되었다. 구체적으로 교사 A는 국어 및 기초학습 과목에서 학생의 수업을 주기적으로 지도한 교과수업 특수교사이고 교사 B는 행동중재 지원을 위해 학생의 문제행동 및 과제 수행을 지속적으로 관찰한 교육지원청 행동중재 지원교사, 교사 C는 학생이 참여하는 특수학급의 생활지도와 교실 운영을 담당한 학급 담이교사로서 모두 연구 대상 학생의 실제 행동 양상과 학급 맥락을 깊이 이해하고 있었다. 평가는 5점 리커트 척도를 사용하여 실시하였으며 전체 평균 점수는 4.58로 전반적으로 높은 사회적 타당도를 보였다. 중재 목표의 대표성과 중재 결과의 만족도가 4.8로 가장 높았고, 중재 절차와 방법의 일반화 가능성이 4.2로 가장 낮게 나타났다.
Ⅲ. 연구 결과
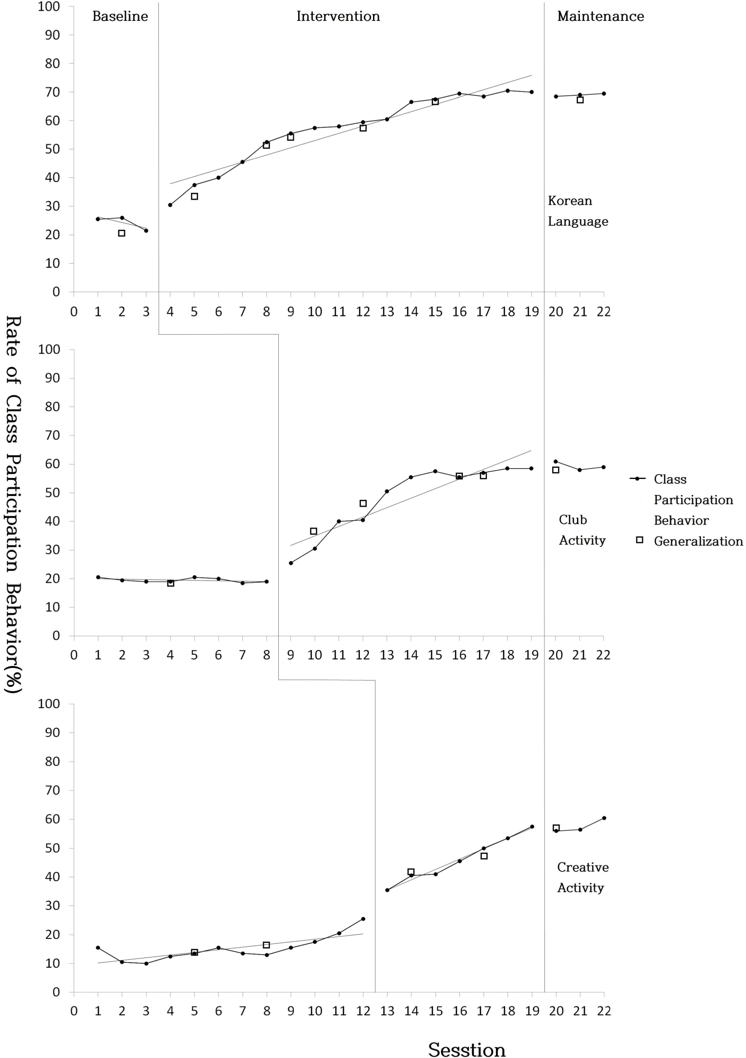
시각적 구조화 기반 긍정적 행동지원이 자폐스펙트럼장애학생의 수업참여행동 발생률에 미친 변화 양상은 <Figure 2>와 같다.
<Table 8>에서와 같이, 대상 학생이 국어 시간 기초선에서 보인 수업참여행동 발생률은 평균 23.5%로 낮은 수업 참여율을 보였으며, 중재 단계의 수업참여행동 발생률은 33% 증가한 56.9%로 확인되었다. 동아리 수업 시간 수업참여행동의 발생률은 평균 기초선 단계에서 19.6%로 낮은 수준을 보였으며, 중재 단계에서는 33% 증가한 52.6%로 나타났다. 창의적 체험활동수업 시간에 나타난 수업참여행동의 발생률은 기초선 단계에서 13.4%로 세 상황 중 가장 낮은 참여 수준을 보였으며, 중재 단계에서 발생률은 평균 28% 증가한 41.3%로 관찰되었다.
대상 학생이 보이는 수업참여행동의 변화는 <Figure 2>에서 확인할 수 있다. 각 단계별 평균은 기초선 단계와 중재 단계에서 시각적으로 의미 있는 차이를 나타내고 있다. 기초선과 중재 단계 상황을 비교하면, 기초선 단계의 마지막 자료점과 중재 단계의 첫 번째 자료점의 간격이 국어와 동아리, 창의적 체험활동시간 모두 실질적으로 유의미하게 나타나 중재를 도입한 이후 즉각적인 수업참여행동의 증가를 보이는 것으로 나타났다. 수업참여행동의 비중복비율(PND)을 살펴보면, 각 단계별로 기초선 기간과 중재 기간의 PND가 모두 100%로 시각적 구조화 기반 긍정적 행동지원이 학생의 수업참여행동 증가에 매우 효과적임을 알 수 있다.
일반화와 관련하여, 시각적 구조화를 통한 긍정적 행동지원의 수업참여행동에 대한 중재 효과의 일반화를 측정하기 위하여 특수학급 국어, 동아리, 창의적 체험활동 시간에 해당 학교 특수교사가 중재를 실시하고 자료를 수집하였다. 일반화 단계에서 대상학생의 수업참여행동 발생의 평균과 범위를 <Table 9>에 제시하였다. 기초선 단계에서는 수업참여 행동이 전반적으로 낮았으나, 시각적 구조화 기반 PBS 중재 후 세 상황 모두에서 뚜렷한 증가를 보였다. 국어 시간은 20.5%에서 52.5%로, 동아리는 19.0%에서 48.5%로, 창의적 체험활동은 15.0%에서 45.0%로 증가하였다. 유지 단계에서도 상승 추세가 지속되어 각각 67.0%, 58.0%, 57.0%를 기록하였다. PND는 모든 상황에서 100%로 나타나 중재 효과가 매우 높음을 나타낸다.
| Situation | Baseline | Intervention | Maintenance |
|---|---|---|---|
| Korean Language | 20.5 | 52.5 (33.0-66.0) |
67.0 |
| Club Activity | 18.0 | 48.5 (37.0-56.0) |
58.0 |
| Creative Activity | 15.0 (14.0-16.0) |
45.0 (42.0-48.0) |
57.0 |
시각적 구조화 기반 정적 행동지원 중재가 자폐스펙트럼장애학생의 수업방해행동발생률에 미친 변화 양상은 <Figure 3>과 같다.
<Table 10>에서 제시된 바와 같이, 대상 학생이 국어 시간 기초선에서 보인 수업방해행동 발생률은 평균 51.6%로 높은 수준을 보였으며, 중재 단계에서 수업방해행동 발생률은 28% 감소한 23.9%로 확인되었다. 동아리 시간 수업방해행동의 발생률은 평균 기초선 단계에서 56.2%로 국어시간보다 높게 나타났으며, 중재 단계에서는 19% 감소한 37.0%로 나타났다. 창의적 체험활동 수업 시간에서 나타난 수업방해행동의 발생률은 기초선 단계에서 평균 50.2% 수준을 보였으며, 중재 단계에서는 24%가 감소하여 평균 26.9%로 관찰되었다. 또한 본 연구에서 부분간격 기록법에서 한 관찰 구간(8초)안에 두 행동을 모두 ‘발생’으로 기록할 경우, 관찰 단위가 모호해져 자료의 신뢰도와 해석 가능성이 저하될 수 있다는 점(Cooper, Heron, & Heward, 2020)에 따라 구간당 하나의 표적 행동만을 기록하는 방식으로 규칙을 조정하였다. 교수·학습 상황에서 수업방해행동이 개입 우선순위가 높은 행동이며(Lane et al., 2010), 동일 구간 두 행동이 모두 관찰될 경우 수업방해행동을 우선적으로 기록하는 우선 기록 규칙을 최종 적용하였다.
학생이 보이는 수업방해행동의 변화 양상은 <Figure 3>과 같다. 각 상황별 평균은 그래프에서 기초선과 중재 상황에서 시각적으로 의미 있는 차이를 나타내고 있다. 기초선과 중재 단계 간 즉각적 변화를 시각적으로 살펴보면, 기초선 단계의 마지막 자료점과 중재 단계의 첫 번째 자료점의 간격이 국어와 동아리, 창의적 체험활동 시간 모두 유의미하게 감소하는 것으로 나타나 중재를 적용한 이후 신속한 행동변화를 보이는 것으로 관찰되었다. 수업방해행동의 비중복비율(PND)을 살펴보면, 각 상황별로 기초선 단계와 중재 단계의 PND가 모두 100%로 시각적 구조화 기반 긍정적 행동지원이 대상학생의 수업방해행동 감소에 매우 실질적인 효과가 있음을 확인하였다. 국어시간의 수업방해행동의 평균발생률은 9.5%로 유지되었으며, 동아리 시간에는 21.0%, 창의적 체험활동 시간에는 24.0%로 각각 유지되었다. 일반화와 관련하여, 시각적 구조화를 통한 긍정적 행동지원의 수업방해행동에 대한 중재 효과의 일반화를 측정하기 위하여 특수학급 국어, 동아리, 창의적 체험활동 시간에 해당 학교 특수교사가 중재를 실시하고 자료를 수집하였다. 일반화 단계에서 대상학생의 수업방해행동 발생의 평균과 범위를 <Table 11>에 제시하였다. 일반화와 관련하여 해당 학교 특수교사가 실시한 국어시간의 수업방해행동은 기초선 평균 54.0%에서 중재 후 24.8%로 약 29% 유의미하게 감소하였으며, 유지 단계에서는 9.0%로 현저히 낮아져 중재 효과가 안정적으로 유지되었다. 동아리 시간의 수업방해행동은 기초선 55.9%에서 중재 후 36.2%로 약 23% 감소하였고, 유지 단계에서도 21.0%로 중재 종료 이후에도 수업방해행동 감소가 유지되었다. 창의적 체험활동 시간에도 기초선 평균 44.5%에서 중재 후 23.5%로 약 21% 감소하였으며, 유지 단계에서도 24.5%로 중재 종료 이후에도 수업방해행동 감소가 유지되는 것으로 확인되었다.
시각적 구조화 기반 긍정적 행동지원 중재에 대한 교사와 학부모의 사회적 타당도 평가 결과는 <Table 12>에 제시하였다. 본 연구에서는 Carroll et al.(2013)의 사회적 타당도 척도를 참여하여 중재의 목표, 내용, 절차, 결과 등에 대한 적절성을 측정할 수 있도록 5개 문항으로 구성하였으며, 경력 7년 이상의 특수교사 3명과 대상 학생의 학부모 1명이 참여하였다. 참여자들은 중재 전·후 수업 영상을 시청한 후 각 문항을 5점 리커트 척도(1점: 전혀 그렇지 않다∼5점: 매우 그렇다)로 평가하였다. 평가 결과, 전체 평균은 4.58(5점 만점)으로 나타나 중재 전반에 대한 수용도와 만족도가 높은 것으로 확인되었다. 세부 문항별로는 중재 목표의 대표성(4.80)과 중재 결과의 만족도(4.80)가 가장 높게 나타났으며, 중재 절차와 방법의 일반화 가능성(4.20)이 가장 낮게 나타났다. 이는 교사들이 본 중재의 효과를 긍정적으로 평가하면서도, 학교의 다른 교과 및 통합학급 상황에 적용하기에는 추가적인 지원이 필요하다고 인식하고 있음을 시사한다. 서술형 응답 분석에서도 교사와 학부모 모두 긍정적 의견을 제시하였다. 교사들은 “시각적 단서가 학생의 과제 집중과 수업 참여를 안정적으로 유지시키는 데 도움이 되었다”, “시각적 구조화가 교사의 학생의 단서를 제공하는데 부담이 줄었다”, “중재 후 학생이 스스로 시각적 스케줄을 활용하여 과제를 확인하고 수행하였다” 등의 의견을 제시하였다. 학부모는 “가정에서도 시각적 스케줄을 활용하자 학생이 스스로 찾아서 활동을 수업하는 모습을 보였다”고 응답하였다. 이와 같은 결과는 시각적 구조화 기반 긍정적 행동지원이 교사와 가정 양측에서 모두 실천 가능하고 수용도 높은 중재임을 입증하며, 학교와 가정의 연계 지원을 통해 지속적 행동변화를 도모할 수 있음을 시사한다.
Ⅳ. 논의 및 제언
본 연구는 고등학교 특수학급에서 시각적 구조화 기반 PBS가 수업참여행동 증가와 문제 행동 감소에 효과적임을 검증하였다. 이는 시각적 구조화가 자폐스펙트럼장애 학생에게 과제를 예측 가능하게 하고 행동 선택을 명확히 제공하는 중요한 환경적 지원임을 재확인하는 결과이다. 본 연구의 연구 결과에 관하여 다음과 같이 논의하고자 한다.
첫째, 본 연구에서는 시각적 구조화를 활용한 긍정적 행동지원이 자폐스펙트럼 고등학생의 수업참여행동을 효과적으로 증가시킬 수 있음을 확인하였다. 이러한 결과는 구조화된 환경이 학습자의 예측 가능성을 높이고, 불안감을 감소시켜 학습 참여를 촉진한다는 선행연구와 일치한다(Mesibov et al., 2004; Hume et al., 2014). 특히 시각적 단서를 통해 과제의 순서와 목표가 명확하게 제시될 때, 자폐스펙트럼장애 학생의 과제 요구를 이해하고 자기조절 능력을 발휘할 가능성이 높아진다(Jeong, 2021). 또한 본 연구의 결과는 시각적 구조화가 학생의 주의집중 및 과제수행 행동을 강화한다는 기존 연구 결과(Koegel, Singh & Koegel, 2012; Hwang, 2020)와도 맥을 같이 한다. 이는 과제 수행 과정에서 즉각적인 강화 체계를 제공하고, 과제를 학생의 발달 수준에 맞게 구조화했을 때 학습 동기가 유지된다는 점에서 중요한 의미를 가진다. 더 나아가, 시각적 지원을 기반으로 한 긍정적 행동지원은 교사의 언어적 단서 의존도를 줄이고, 학생이 스스로 과제를 예측하고 준비하는 능력을 증진시킨다는 점에서 실천적 함의를 가진다(Horner et al., 2005). 따라서 시각적 구조화는 단순한 학습자료 제시 전략이 아니라, 자폐스펙트럼장애 학생의 자율적 참여와 긍정적 행동 변화를 유도하는 효과적인 교수적 지원체계로 볼 수 있다.
둘째, 본 연구는 시각적 구조화를 활용한 긍정적 행동지원이 자폐스펙트럼장애 고등학교의 수업방해행동을 효과적으로 감소시킬 수 있음을 확인하였다. 이러한 결과는 시각적 단서 제공과 구조화된 수업 절차가 자폐스펙트럼장애 학생의 과제 예측 가능성을 높이고, 행동조절을 돕는다는 선행연구의 결과와 일치한다(Mesibov et al., 2005; Hume et al., 2014). 시각적 구조화는 학생이 학습 상황의 요구를 명확히 이해하도록 하여, 불확실성과 과제 전환 상황에서 나타나는 회피적 행동을 예방하는 데 효과적임이 보고된 바 있다(Koegel et al., 2012).
또한, 해당 연구에서 과제 수행 후 즉각적 강화가 병행되었을 때 수업방해행동이 더욱 감소한 것은 긍정적 행동지원의 핵심 원리인 강화 중심 접근이 효과적으로 작용했음을 의미한다(Horner et al., 2005). 이는 교사가 학생의 바람직한 행동을 즉각적으로 강화할 때 문제행동이 대체되고, 학습 상황에 대한 긍정적 기대가 형성된다는 선행연구(Kazdin, 2011; Carr et al., 2002) 결과와도 일치한다. 한편, 일부 회기에서는 관찰된 수업방해행동의 일시적 증가(예: 약물 복용 변화나 과제자료 분실 상황)는 환경적·생리적 변인이 행동에 영향을 미칠 수 있음을 보여준다. 이는 행동중재가 항상 맥락적 요인을 함께 고려해야 한다는 기능적 행동평가(FBA)의 기본 원리를 뒷받침한다(O’Neill et al., 2015). 따라서 시각적 구조화 기반 긍정적 행동지원은 단순히 행동을 억제하는 것이 아니라, 학습자의 이해와 예측 가능성을 높여 자발적인 자기조절을 촉진하는 교수전략으로 기능한다. 이러한 점에서 본 연구의 결과는 자폐스펙트럼장애 학생의 수업방해행동 감소를 목표로 한 통합교육 현장의 교수 설계에 실질적인 함의를 제공한다.
셋째, 시각적 구조화 기반 긍정적 행동지원 중재에 대한 교사와 학부모의 사회적 타당도를 평가한 결과, 전반적으로 높은 수준의 만족도와 수용도 결과를 보였다. 이러한 결과는 중재의 목표와 절차가 교육현장에서 실질적으로 적용 가능하며, 학습자의 행동 변화를 긍정적으로 인식했음을 의미한다. 이는 중재 참여자들이 실천 가능한 긍정적 행동지원(PBS)을 높은 교육적 가치로 평가한 선행연구(Kazdin, 2011; Horner et al., 2005)와도 일치한다. 특히 ‘중재목표의 대표성’과 ‘결과에 대한 만족도’가 가장 높게 나타난 것은 본 연구의 목표가 학교 현장에서 교사들이 직면하는 실제 행동 문제를 반영했기 때문으로 해석된다. 이러한 맥락은 긍정적 행동지원의 핵심요소인 ‘현장 맥락 중심의 실천 가능성’을 강조한 Carr et al.(1999)의 연구 결과와 부합한다. 반면 ‘중재 절차 및 방법의 일반화 가능성’ 점수가 상대적으로 낮게 나타난 것은, 교사들이 시각적 구조화 기반 중재의 효과성은 인식하면서도 다양한 교과나 활동시간에 동일한 체계를 적용하기에는 시간적·환경적 부담이 존재함을 보여준다. 이는 중재의 지속 가능성과 일반화 전략이 향후 연구와 실천에서 보완되어야 함을 시사한다(Hume et al., 2014). 또한 학부모의 서술형 응답에서 “가정에서 자기주도적 행동이 안정화되어 나타났다”는 진술은 시각적 지원이 학교를 넘어 가정에서도 일관성 있게 작동했음을 보여준다. 이러한 결과는 학교-가정 간 연계형 중재의 중요성을 강조한 Shin(2019)과 Lucyshyn, Horner, & Dunlap(2002)의 연구와 맥을 같이한다. 즉, 시각적 구조화 기반 긍정적 행동지원은 교실 내 학습행동 개선뿐 아니라, 가정에서의 일상적 생활의 안정에도 기여할 수 있는 다차원적 접근임을 확인할 수 있다.
결론적으로, 이 연구는 시각적 구조화 기반 긍정적 행동지원이 자폐스펙트럼장애 학생의 수업참여행동을 유의미하게 향상시키고, 수업방해행동을 감소시킨 효과적인 중재임을 보여주었다. 또한 중재 종료 이후에도 그 효과가 유지되었으며, 다른 교사가 실시한 수업에서도 유사한 효과가 나타나 외적 타당도를 확보하였다. 더 나아가 교사와 학부모 모두 높은 수준의 사회적 타당도를 보고함으로써, 본 연구의 중재가 학교와 가정의 실제적 교육 맥락에서 실천 가능한 중재로서 의미가 있음을 입증하였다. 이와 같은 연구 결과를 토대로, 향후 연구에서는 다음과 같은 보완점과 제언을 제시하고자 한다.
첫째, 본 연구는 종속변인으로 수업참여행동과 수업방해행동을 설정하였고, 중재 효과를 이 두 지표를 통해 분석하였다. 하지만 중재의 효과를 더욱 다각도로 검증하기 위해서는 문제행동을 대신할 수 있는 대체행동의 증가 여부와 학교적응행동(예: 또래관계, 자기관리, 교사지시이행률)을 추가로 측정하는 것이 바람직하다. 또한 시간적 통합학급이나 일반학급에서의 적용을 고려해 시간적 구조화와 환경의 구조화 요소의 효과를 함께 분석하면 행동지원 중재의 외적 타당도를 높일 수 있다.
둘째, 이 연구는 특수학급 내 1명의 학생을 대상으로 이루어졌으므로, 중재 효과의 일반화 가능성에는 제한이 있다. 후속 연구에서는 가정환경 및 통합학급을 모두 포함하여, 부모 및 일반교사도 중재 실행의 주체로 참여시키는 것이 필요하다. 예컨대, 가정에서도 시각적 일과표나 일상 루틴을 활용하여 중재를 실시하고, 학교와 가정 간 연계 상담 및 자료 공유 시스템을 구축하는 것이 필요하다. 이를 위해 교사가 부모님에게 시각적 구조화 기반 긍정적 행동지원 프로그램을 안내하고, 부모의 실행 충실도 및 환경제공 여부를 점검할 수 있는 절차를 마련하는 것이 유리하다. 또한 일반교사와 통합학급 학생들을 대상으로 중재를 확장하면, 통합교육 맥락에서의 적용 가능성과 지속 가능성에 대한 증거를 더 풍부히 확보할 수 있다.
셋째, 본 연구의 대상 학생의 고등학생이었으며, 결과적으로 시각적 구조화 기반 중재가 학령기 고등학생에게도 유의미하게 작용함을 확인하였다. 이는 기존 연구들이 주로 유·아동을 대상으로 했던 것에 비해 의미 있는 결과라 볼 수 있다. 이러한 맥락에서 청소년기 이후나 성인 특수교육 맥락에서도 시각적 구조화 프로그램이 적용 가능함을 제안한다. 예컨대, 성인 자폐스펙트럼 장애인의 직업지원 프로그램, 자립생활 훈련 프로그램 등에 이와 유사한 시각적 구조화 기반 행동지원 전략을 적용하고, 그 효과를 장기 추적하는 연구가 필요하다.
넷째, 본 연구에서 사용한 중재는 학생의 선호도 및 관심 영역을 반영한 시각적 일과표와 과제 구조화 자료로 설계되었다. 그러나 이는 개별화교육계획(IEP)의 월별·학기별 목표와 충분히 연계되지 않았으므로, 향후에는 IEP목표와 직접적으로 연결된 중재 프로그램을 개발할 필요가 있다. 예컨대, 과제수행 목표와 주의집중 목표를 IEP에 명시하고, 이를 시각적 지원 자료(일과표, 순서카드, 토큰교환 시스템 등)와 통합하여 설계 실시하는 것이 바람직하다. 더 나아가, 해당 자료들을 통합학급 및 일반학급에서도 활용 가능하도록 설계하고 교사의 부담을 최소화하면서 수업 시간에 적용 가능하도록 하는 과제 및 자료 개발이 필요하다.
후속 연구에서는 교사 부담을 줄이기 위한 디지털 기반 시각적 지원 도구 개발이 필요하며, 행동측정 시 대체행동(또래 관계, 자기 관리 등)에 대한 조작적 정의와 구체적 지표 개발이 요청된다. 또한 IEP 목표와 연계한 구조화 전략 설계, 학교-가정 연계를 통한 중재 지속성 보장, 부모 코칭 기반 PBS 프로그램 적용 가능성 등을 제안하고자 한다.





