Ⅰ. 서론
자폐성장애는 사회적 의사소통 및 상호작용의 지속적인 결함과 제한적이고 반복적인 행동이나 흥미, 활동을 특징으로 하는 신경발달장애이다(American Psychiatric Association, 2013). 자폐성장애를 가진 사람들은 자신의 요구를 표현하고, 주변 환경이나 다른 사람들의 의사소통을 이해하는 데 어려움이 있으며, 감각 자극에 대해 비전형적인 반응을 보이기도 한다(Nyakundi & Wairungu, 2021). 이러한 특성으로 인해 자폐성장애 학생들은 일반 학생들이나 지적장애 학생들보다 더 많은 문제행동을 보이며, 이에 대한 효과적인 중재가 제공되지 않으면 성장하면서 행동의 빈도와 강도가 심각해질 수 있다(Nyakundi & Wairungu, 2021; Seoul National Hospital, 2015). 이들 중 많은 학생들이 자해, 공격, 환경에 방해되는 행동 등의 문제행동을 보이며, 이는 자신과 타인의 신체적 상해 위험을 초래할 뿐만 아니라 지역사회 및 교육활동 참여를 제한한다(Matson & Nebel-Schwalm, 2007). 특히 학교 환경에서의 수업 중 지시 불이행, 자리 이탈, 소리 지르기, 부적절한 발성 등과 같은 수업 방해 행동은 과제 수행과 학업 성취를 저해하는 주요 요인으로 보고된다(Blank & Shavit, 2016; Burns et al., 2021; Lane et al., 2007; Petursdottir & Ragnarsdottir, 2019). 이러한 수업 방해 행동은 학생 자신뿐만 아니라 또래 학생의 수업 참여 및 과제 수행을 방해하고, 학업 성취에 부정적 영향을 미치며, 교사의 수업 진행에도 어려움을 초래한다(Becherer, Köller, & Zimmermann, 2021; Petursdottir & Ragnarsdottir, 2019). 수업 참여와 과제 수행은 학업 성취를 위한 핵심적인 요소이므로(Becherer et al., 2021; Siddiq, Gochyyev, & Valls, 2020), 학생이 수업 활동에 참여하고, 학습 내용을 습득할 수 있도록 적절한 교육적 지원과 행동 중재가 필요하다. 「2022 개정 특수교육 교육과정」에서도 장애 학생의 특성과 교육적 요구를 반영한 학생 맞춤형 교육과정 강화의 필요성이 강조되고 있다(Ministry of Education & Daegu Metropolitan Office of Education, 2023). 따라서 장애 학생이 교육과정에 능동적으로 참여하고, 효과적으로 학습하도록 돕기 위해서는 수업 방해 행동을 예방하고 이에 대처하는 개별화된 행동 중재의 적용이 요구된다.
문제행동의 예방과 중재를 위해 「장애학생 행동중재 가이드라인」에서는 행동의 기능을 평가하고, 기능을 기반으로 한 중재의 계획과 실행을 강조하고 있다(Ministry of Education, 2024). 기능기반의 중재(function-based intervention)는 문제행동에 대한 기능행동평가를 실시하고, 평가 결과를 토대로 문제행동의 예방과 감소 및 대체행동의 향상을 위한 중재를 포함한다(Griffith, Hirsch, & Burns, 2022). 문제행동에 대한 접근으로 기능기반의 중재는 평가와 중재가 연계된 중재(Choi & Jung, 2019; Horner & Carr, 1997)로, 증거기반 전략을 사용한 비기능기반의 중재와 기능기반 중재의 효과를 비교한 연구에서도 기능기반의 중재가 문제행동의 중재에 보다 더 효과적인 것으로 보고되었다(Ellingson et al., 2000; Ingram, Lewis-Palmer, & Sugai, 2005; Stahr et al., 2006). 다수의 연구들이 학교 현장에서 수업 방해 행동의 감소와 수업 참여 및 과제 수행 행동의 향상에 대한 기능기반의 중재 효과를 보고하였다(Cho & Blair, 2017; Gu & Jung, 2024; Jeong & Jung, 2023; Kang, Kang, & Son, 2021; Kim et al., 2017; Lane et al., 2007; LeGray et al., 2010; Park & Kim, 2022; Perihan & Bicer, 2021; Petursdottir & Ragnarsdottir, 2019; Reeves et al., 2013; Shumate & Wills, 2010). 중등 및 전공과 장애 학생을 대상으로 한 연구들은 수업 방해 행동의 감소와 과제 수행 행동의 향상과 유지(Kang et al., 2021; Park & Kim, 2022), 일반화에 대한 기능기반의 중재 효과를 보여주었다(Park & Kim, 2022). 초등 장애 학생을 대상으로 한 연구들에서도 기능기반의 중재가 수업 및 과제 이탈, 수업 방해 행동의 감소와 수업 참여 및 과제 수행 행동의 향상에 효과적인 것으로 나타났다(Cho & Blair, 2017; Gu & Jung, 2024; Jeong & Jung, 2023; Lane et al., 2007; Perihan & Bicer, 2021; Petursdottir & Ragnarsdottir, 2019; Reeves et al., 2013). 이 중 일부 연구는 중재 효과의 유지(Petursdottir & Ragnarsdottir, 2019; Reeves et al., 2013)와 유지와 함께 일반화 효과(Gu & Jung, 2024; Jeong & Jung, 2023)를 보여주었다. 또한 수업 방해 행동의 감소와 과제 수행 행동의 향상과 함께 과제 수행 행동의 성과로서 과제 완수율과 정확률을 포함한 중재 효과를 보고한 연구도 있다(Gu & Jung, 2024; Jeong & Jung, 2023). 한편, 일반 학생을 대상으로 한 연구에서도 기능기반의 중재가 수업 방해 행동 또는 과제 이탈 행동의 감소에 효과적인 것으로 보고되었다(LeGray et al., 2010; Shumate & Wills, 2010). 이와 같이 선행연구들은 수업 방해 행동의 감소와 수업 참여 및 과제 수행 행동의 향상에 대한 기능기반의 중재 효과를 보여주었고, 일부 연구들은 중재 효과의 유지 및 일반화를 보고하였다.
수업 방해 행동에 대한 중재 연구들은 행동에 대한 기능행동평가를 실시하고, 평가된 기능에 따라 개별화된 중재를 제공하였다. 기능행동평가는 문제행동을 유지하거나 강화하는 환경적 요인을 평가하는 절차로, 면담, 설문지, 체크리스트 등을 활용하는 간접 평가, 문제행동을 직접 관찰하는 기술적 평가, 행동의 기능을 실험적으로 검증하는 기능분석 절차를 포함한다(Hanley, 2012). 실험적 기능분석은 환경 변인을 조작하여 문제행동의 기능을 평가하고, 이를 근거로 보다 일관되고 효과적인 중재 설계에 핵심적인 역할을 한다(Moon & Jeong, 2018; Sugai, Horner, & Sprague, 1999). 기능분석은 문제행동의 기능을 가장 정밀하게 평가할 수 있는 실험적 평가 절차로 간주되고 있다. 또한 기술적 평가와 기능분석 결과의 비교에서 50% 수준의 일치가 보고되었음에도 불구하고(Contreras et al., 2023), 학교 현장에서 실시된 대부분의 연구는 간접 평가와 기술적 평가에 의존하는 경향이 있으며, 기능분석을 실시한 연구는 제한적이다(Cho & Blair, 2017; Gu & Jung, 2024; Jeong & Jung, 2023; LeGray et al., 2010; Shumate & Wills, 2010). 따라서 문제행동을 유지시키는 환경적 변인을 명확히 파악하고, 기능에 기반한 효과적인 중재의 적용을 위해서는 보다 체계적인 평가가 필요하다(Hanley, Iwata, & McCord, 2003).
이와 같이 수업 방해 행동 관련 기능기반 중재 선행연구들은 다양한 연령의 장애 학생뿐 아니라 일반 학생을 대상으로 효과를 보고하였으나, 중재 효과의 유지 및 일반화를 보고한 연구는 많지 않으며, 기능분석을 실시한 연구도 제한적이다. 또한 수업 참여 및 과제 수행 행동의 향상은 학생의 학업 성취도와 높은 상관관계를 보이므로(Becherer et al., 2021; Siddiq et al., 2020), 수업 참여 및 과제 수행의 실제적인 성과에 대해 평가할 필요가 있다(Cooper, Heron, & Heward, 2025). 기능기반의 중재를 통해 과제 수행 행동의 향상에 대해 보고한 연구는 많지만, 과제 수행 행동의 성과를 보고한 연구는 많지 않다(Donohue et al., 2012; Gu & Jung, 2024; Jeong & Jung, 2023). 따라서 이 연구에서는 수업 방해 행동으로 인해 낮은 과제 수행 행동을 보이는 자폐성장애 중학생을 대상으로 간접 평가, 기술적 평가, 기능분석을 실시하고, 평가 결과에 근거한 기능기반의 중재를 적용하여 수업 방해 행동, 과제 수행 행동 및 과제 완수율에 미치는 효과와 중재 효과의 유지 및 일반화를 평가하였다.
II. 연구 방법
이 연구에는 A시에 소재한 특수학교의 중학교 과정 2학년에 재학 중인 자폐성장애 학생 3명이 참여하였다. 학생들은 교실 수업 상황에서 자리이탈, 수업과 관계없는 소리내기 등의 빈번한 수업 방해 행동을 보이며 이로 인한 낮은 과제 수행으로 과제 완수에 어려움을 보였다. 연구 참여 학생의 선정 기준은 다음과 같고, 구체적인 학생의 정보 및 특성은 <Table 1>과 같다.
첫째, 자폐성장애로 진단받고 수업 상황에서 방해 행동을 보이는 학생
둘째, 수업 방해 행동으로 인해 낮은 과제 수행을 보이는 학생
셋째, 학교 출석률이 높은 학생
넷째, 보호자가 연구 참여에 동의한 학생
수업 방해 행동은 Petursdottir and Ragnarsdottir(2019)의 연구를 참고하여 자신이나 타인의 학습을 방해하는 부적절한 소리나 행동으로 정의하였다. 행동에 대한 구체적인 예와 비예는 <Table 2>와 같다.
과제 수행 행동은 Gu and Jung(2024)의 연구를 참고하여 교사가 과제와 관련된 설명을 할 때 학생이 교사나 과제를 보거나 주어진 과제를 수행하는 행동으로 정의하였다. 행동에 대한 구체적인 예와 비예는 <Table 2>와 같다.
과제 완수율은 Gu and Jung(2024)의 연구를 참고하여 영역별로 제시된 과제를 10분 동안 독립적으로 완성한 정도로 정의하였다. 행동에 대한 구체적인 예와 비예는 <Table 2>와 같다.
수업 방해 행동과 과제 수행 행동을 측정하기 위해 촬영된 10분간의 영상을 보면서 학생의 수행을 관찰하였다. 수업 방해 행동은 5초 부분 간격 기록을 사용하여 각 구간인 5초 동안 한 번이라도 발생하면 (+)로 기록하였다. 과제 수행 행동은 5초 전간격 기록을 사용하여, 각 구간인 5초 동안 학생이 과제 수행 행동을 유지하면 (+)로 기록하였다. 수업 방해 행동과 과제 수행 행동은 각 행동의 발생 구간 수를 발생한 구간 수와 발생하지 않은 구간 수로 나눈 뒤, 100을 곱하여 행동 발생의 백분율(%)을 산출하였다.
이 연구에서는 종속변인인 수업 방해 행동, 과제 수행 행동, 과제 완수율에 대한 자료의 신뢰도를 검증하기 위해 연구 참여 학생의 과제 수행을 녹화한 영상을 두 관찰자가 독립적으로 관찰하고, 관찰자 간 일치도를 평가하였다. 연구자인 제 1관찰자와 특수교사인 제 2관찰자가 종속변인의 조작적 정의를 숙지하고, 제 1관찰자와 제 2관찰자의 일치도가 2회기 연속 90% 이상이 될 때까지 관찰자 간 훈련을 실시하였다. 기초선, 중재, 유지와 추수 관찰, 일반화의 각 조건에서 최소 25%에 해당하는 회기를 무작위로 선정하여 관찰하였다. 수업 방해 행동과 과제 수행 행동의 관찰자 간 일치도는 두 관찰자가 일치한 간격 수를 일치한 간격 수와 불일치한 간격 수로 나눈 뒤, 100을 곱하여 행동 발생의 백분율(%)을 산출하였다. 과제 완수율의 관찰자 간 일치도는 일치를 보인 항목의 수를 총 항목의 수로 나눈 뒤, 100을 곱하여 백분율(%)을 산출하였다. 수업 방해 행동, 과제 수행 행동과 과제 완수율에 대한 기초선, 중재, 유지, 추수 관찰, 일반화 조건의 관찰자 간 일치도 평가 결과는 <Table 3>과 같다.
모든 실험 조건에서 계획된 절차로 실험이 실행되었는지 평가하기 위해 절차 충실도를 평가하였다. 절차 충실도 평가는 각 실험 조건별 최소 25%에 해당하는 회기를 무작위로 선정하여 절차 충실도 체크리스트를 사용하여 실시하였다. 절차 충실도 체크리스트는 Jeong and Jung(2023)의 절차 충실도 문항을 수정, 보완하고 각 조건별로 문항을 ‘예(Y), 아니오(N)’로 응답하도록 구성하였다. 절차 충실도는 ‘예(Y)’로 체크된 문항 수를 전체 문항 수로 나눈 값에 100을 곱하여 산출하였다. 각 조건별 충실도 평가 결과는 <Table 4>와 같다. 절차 충실도 측정에 대한 관찰자 간 일치도는 실험 조건별 25%를 무작위로 선정하여 두 명의 관찰자가 독립적으로 관찰한 후 평가하였고, 관찰자 간 일치도는 모든 조건에서 100%로 평가되었다.
사회적 타당도는 Jeong and Jung(2023)의 사회적 타당도 평가 문항을 수정, 보완하여 중재 목표의 사회적 중요성, 중재 절차의 적절성, 중재 효과의 중요성을 기준으로 학생의 보호자와 담임교사가 평가하였다. 사회적 타당도 평가지는 5점 척도의 7개 문항과 한 개의 개방형 질문으로 구성되었다. 사회적 타당도 평가 결과 전체 평균 점수는 4.9점이었으며, 학생별 평가 결과 학생 1의 보호자는 평균 4.8점, 담임교사가 평균 5점으로 나타났다. 학생 2의 보호자와 담임교사는 평균 5점으로 평가하였다. 학생 3의 경우, 보호자는 평균 4.8점, 담임교사는 평균 5점으로 나타났다. 사회적 타당도 평가 결과는 <Table 5>와 같다.
이 연구는대상자 간 중다 기초선 설계를 사용하여 기능기반 중재를 독립변인으로, 수업 방해 행동, 과제 수행 행동, 과제 완수율을 종속변인으로 하여 독립변인과 종속변인의 기능적 관계를 평가하였다. 연구 참여 학생 모두에게 기초선, 중재, 유지 및 추수 관찰 조건을 실시하고 각 조건에서 간헐적으로 일반화 조건을 실행하였다. 실험을 시작하기 전 자극 선호 평가와 간접 평가, 직접 관찰, 기능분석을 포함한 기능행동평가를 실시하였다.
연구 참여 학생들의 선호 자극을 평가하기 위해 개별화교육계획의 기초 조사서, 학부모 및 담임교사와의 면담을 통해 선호 활동 목록을 학생별로 5개씩 선정하였다. Fisher et al.(1992)과 Shin and Ahn(2024)의 연구를 참고하여 짝 자극 제시 방법을 사용하여 자극 선호 평가를 실시하였다. 자극 선호 평가 결과는 <Table 6>과 같다.
연구 참여 학생의 수업 방해 행동의 기능을 평가하기 위해 담임교사와 학생의 보호자가 행동 기능 설문지(QABF: Matson & Vollmer, 1995)에 응답하였다. 평가 결과 학생 1은 담임교사와 보호자 모두 선호물 획득 기능, 학생 2는 감각자극 기능이 높았다. 학생 3의 평가 결과, 보호자는 선호물 획득 기능이 높았고, 담임교사는 선호물 획득 기능과 감각자극 기능이 모두 높은 것으로 평가하였다.
연구 참여 학생의 보호자를 대상으로 기능평가 인터뷰(FAI: O’Neill et al., 2015)를 실시하였다. 인터뷰 실시 결과, 학생 1과 학생 3은 자신이 원하는 활동을 하지 못하거나 감각자극을 획득하기 위해 수업 방해 행동이 나타나며, 학생 2는 감각자극을 획득하기 위해 수업 방해 행동이 나타나는 것으로 평가되었다.
직접 관찰은 교실 수업 상황을 영상으로 촬영한 뒤, 영상을 시청하며 수업 방해 행동의 선행사건(Antecedent: A), 행동(Behavior: B), 후속결과(Consequence: C)를 기록하고, 행동의 기능을 평가하였다. 직접 관찰 결과 학생 모두 선호물 획득과 자동강화 기능으로 나타났다. 연구 참여 학생들의 ABC관찰 결과 요약은 <Table 7>과 같다.
간접 평가 및 직접 관찰 결과를 토대로 Iwata et al.(1982/1994)과 Chok et al.(2024)의 절차를 참고하여 연구자가 학생의 교실과 심리안정실에서 기능분석을 실시하였다. 간접 평가, 직접 관찰 결과를 기반으로 관심 조건을 제외한 통제, 선호물 획득, 도피, 혼자 있기의 4가지 조건을 진행하였다. 통제 조건에서는 학생에게 선호물을 제공하고 일정 시간 간격마다 관심을 제공하였으며, 관심과 관련된 학생의 적절한 요청에 반응하였다. 선호물 획득 조건에서는 학생에게 선호도가 높은 자료를 제시하고 일정 시간 경과 후 자료를 회수하였으며 학생이 수업 방해 행동을 보일 때 회수한 자료를 다시 제공하였다. 도피 조건에서는 학생에게 과제를 제시하고 촉진을 제공하여 과제 수행을 지시하였다. 학생이 수업 방해 행동을 보일 때, 과제를 제거하였다. 혼자 있기 조건에서는 연구자가 학생에게 일정 시간 연구자가 자리를 비울 것을 안내하고 장소를 벗어나 학생이 혼자 있도록 하였으며, 학생의 안전을 위해 연구자는 창문을 통해 학생을 관찰하였다. 모든 조건은 회기 당 5분씩 진행하였으며, 각 조건에서 동일한 절차가 반복되었다.
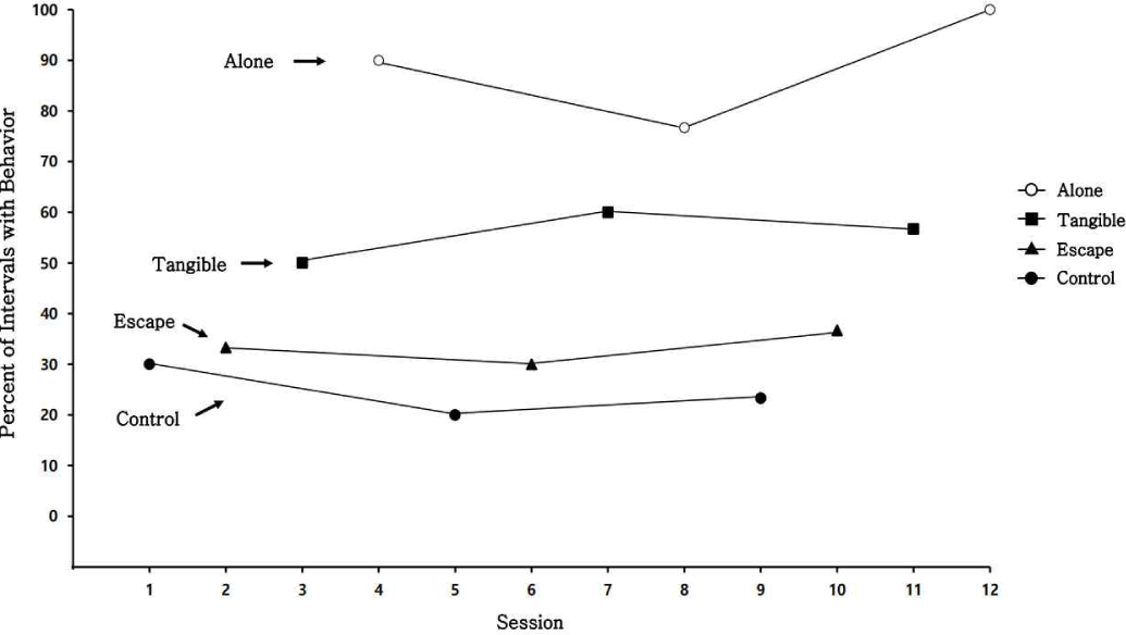
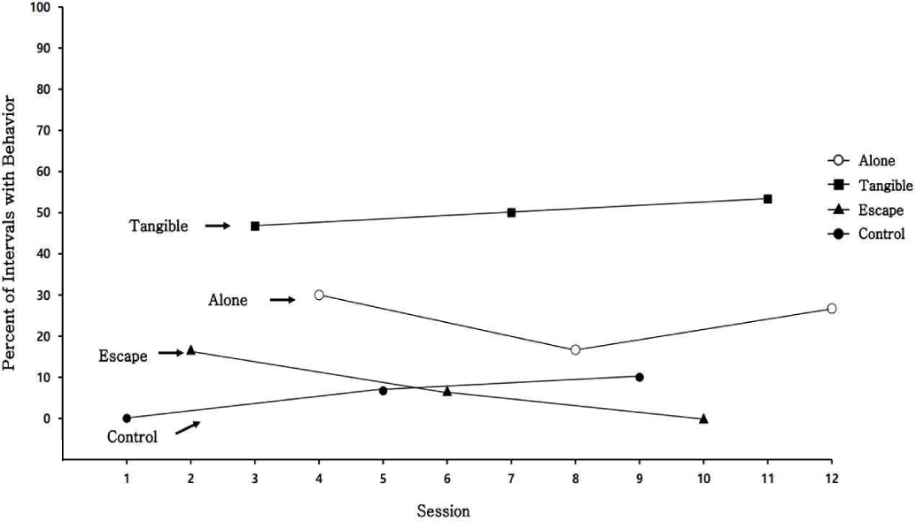
기능분석 결과, 학생 1은 혼자 있기 조건에서 수업 방해 행동이 가장 많이 나타났고, 다음 선호물 접근 조건에서도 높은 비율로 수업 방해 행동을 보였다(<Figure 1>). 따라서 수업 방해 행동의 주요 기능은 자동강화와 선호물 접근으로 평가되었다. 학생 2는 혼자 있기 조건에서 수업 방해 행동이 가장 많이 발생하였다(<Figure 2>). 학생 2의 행동의 기능은 자동강화로 평가되었다. 학생 3은 선호물 접근 조건에서 수업 방해 행동이 가장 많이 발생하고, 혼자 있기 조건에서도 수업 방해 행동이 발생하였다(<Figure 3>). 따라서 학생 3의 행동의 주요 기능은 선호물 접근과 자동강화 기능으로 나타났다.
수업이 시작되면 연구자는 5분 동안 전체 학급 학생에게 학습 목표와 학습 내용을 설명하였다. 모든 학생에게 학습 목표 및 내용과 관련된 개별적인 과제가 제공되고 특수교육실무사와 사회복무요원은 학생들의 과제 수행을 지원하였다. 이후 연구자는 “개별 학습 시간이에요.”라고 말하며 개별 학습 시간을 안내하고 기초선 조건을 시작하였다. 연구자는 연구 참여 학생을 순차적으로 개별 학습 공간으로 안내하고 국어 교과의 개별 과제를 제시하였다. 연구 참여 학생이 수업 방해 행동을 보일 경우 연구자는 3단계 촉진(언어적 촉진, 모델링, 신체적 촉진)을 사용하여 과제 수행을 재지시하였다. 10분의 개별 학습 시간이 종료되면 연구자는 “개별 학습 시간이 끝났어요.”라며 안내하고 학생의 과제를 점검하고, 피드백을 제공하였다.
중재 조건에서 기초선 조건과 동일하게 국어 수업 시간의 개별 과제 시간에 10분 동안 연구 참여 학생들은 개별 과제를 수행하였다. 개별 학생들의 수업 방해 행동에 대한 기능행동평가 결과를 바탕으로 개별화된 기능기반의 중재를 제공하였다. 연구 참여 학생별 기능기반의 중재는 <Table 8>과 같다.
학생 1의 수업 방해 행동의 선호물 획득과 자동강화 기능을 토대로 중재가 제공되었다. 학생 1은 테이프, 작은 플라스틱, 풀 등의 거칠거나 뭉칠 수 있는 물건을 손가락으로 굴리는 행동을 반복하였다. 이를 교사가 제지하였을 때 해당 물건을 다시 갖고 오거나 새로운 물건을 찾기 위해 수업 방해 행동이 발생하였다. 이에 대한 선행사건 중재로 연구자는 학생에게 한 손으로 만질 수 있는 선호 물건을 개별 학습 공간에 배치하고 학생이 개별 과제를 수행하면서 한 손으로 해당 물건을 만질 수 있는 기회를 제공하였다. 또한 학생의 소리 지르기 행동을 예방하기 위해 개별 학습 공간에 조용히 과제를 수행하는 모습의 시각적 단서를 제공하였다. 입 모양의 시각적 단서와 초록색, 빨간색 스티커를 활용하여, 빨간색 스티커가 붙어 있을 때는 조용히 과제를 수행해야 한다는 규칙을 알려주는 단서로 사용하였다. 학생의 과제 수행을 촉진하기 위해 선호하는 형태인, 글을 읽고 해당하는 그림을 선으로 잇는 과제를 삽입하였다. 대체행동 중재로 연구자는 과제 수행 전 학생에게 선호하는 물건을 “주세요.”라고 요청할 수 있도록 기능적 의사소통 행동을 모델링을 통해 교수하였다. 또한 선호하는 물건을 한 손으로 잡고 과제를 수행하는 모습을 모델링으로 안내하였다. 학생이 개별 과제 수행 중 자리에 앉은 상태로 “주세요.”라고 말하면 연구자는 즉시 선호하는 물건을 학생에게 제공하였다. 후속결과 중재로 학생이 수업 방해 행동 없이 완수한 과제 항목마다 토큰을 제공하였다. 학생이 대체행동을 수행하지 않고 수업 방해 행동을 보일 경우 연구자는 선호하는 물건을 제거하고 방해 행동을 중단시킨 후 3단계 촉진을 통해 과제 수행을 재지시하였다. 수업 종료 후 학생이 토큰과 원하는 강화제를 교환하고, 10분간의 선호 활동 시간을 제공하였다.
학생 2의 수업 방해 행동의 기능인 자동강화에 기반한 중재를 제공하였다. 학생 2를 위한 선행사건 중재로 학생이 수업 전 반복적으로 교실을 뛰어다닌 후, 과제 집중에 어려움을 보였기 때문에 개별 과제 수행 5분 전 학생에게 착석하여 수행할 수 있는 퍼즐을 제공하였다. 퍼즐 맞추기는 학생이 선호하는 활동으로, 퍼즐 활동을 통해 학생이 안정된 상태를 유지하며 제시된 과제를 수행하도록 하였다. 학생이 종이와 연필 과제보다 태블릿 PC 조작을 선호하여 태블릿 PC를 이용하여 과제를 제시하고 수행할 수 있도록 하였다. 학생의 대체행동 중재로 과제 수행 행동에 대한 모델링을 제공하였다. 후속결과 중재로 학생이 수업 방해 행동 없이 완수한 과제 항목마다 토큰을 제공하였다. 수업 방해 행동을 보일 경우 연구자는 방해 행동을 중단시킨 후 3단계 촉진을 통해 과제 수행을 재지시하였다. 수업 종료 후 토큰과 원하는 강화제를 교환하고 10분간의 선호 활동 시간을 제공하였다.
학생 3의 수업 방해 행동의 기능인 선호물 획득과 자동강화를 토대로 중재를 제공하였다. 학생 3의 선행사건 중재로 학생이 선호하는 물건이 보이지 않으면 자리를 이탈하여 지속적으로 교실을 돌아다니는 행동을 보이기 때문에 선호 물건을 학생의 시선에서는 보이지만 손이 닿을 수 없는 장소에 배치하였다. 개별 학습 공간에 ‘먼저-나중에’ 그림카드를 제시하여 과제 수행 후 선호하는 물건을 가져갈 수 있도록 안내하였다. 또한 소리를 지르는 행동을 중재하기 위해 개별 학습 공간에 조용히 과제를 수행하는 모습의 시각적 단서를 제공하였다. 학생이 지속적으로 비닐을 입으로 뜯는 행동을 반복하여 감각자극을 획득하기 때문에 입으로 비닐을 뜯는 행동을 대체할 수 있도록 껌을 제공하고 개별 과제를 수행하면서 씹을 수 있도록 하였다. 학생이 색칠과 스티커를 활용한 과제에서 높은 과제 수행 행동을 보이기 때문에 개별 과제에 학생이 선호하는 색칠하기와 스티커 붙이기 형태의 과제를 삽입하였다. 대체행동 중재로 껌을 원할 때 두 손을 모아 요청하는 기능적 의사소통 행동을 모델링을 통해 교수하였다. 또한 수업 방해 행동을 하지 않고 과제를 수행하는 행동을 시각적으로 제시하였다. 후속결과 중재로 학생이 수업 방해 행동 없이 완수한 과제 항목마다 토큰을 제공하였다. 대체행동을 수행하지 않고 수업 방해 행동을 보일 경우 연구자는 선호하는 물건을 제거하고 방해 행동을 중단시킨 후 3단계 촉진을 제공하여 과제 수행을 재지시하였다. 수업 종료 후 학생이 토큰과 원하는 강화제를 교환하고 10분간의 선호 활동 시간을 제공하였다.
Ⅲ. 연구 결과
이 연구는 기능기반의 중재가 자폐성장애 중학생의 수업 방해 행동, 과제 수행 행동과 과제 완수율에 미치는 효과와 중재 효과의 유지 및 일반화를 평가하였다. 연구 결과 기능기반의 중재가 제공된 이후 연구 참여 학생들의 수업 방해 행동은 감소하였으며, 과제 수행 행동과 과제 완수율은 향상되었다. 이러한 행동 변화는 중재 종료 후에도 유지되었고, 일반화 상황에서도 그 효과가 관찰되었다.
연구 참여 학생 모두 기능기반의 중재가 제공된 이후 수업 방해 행동이 감소되었다. 연구 참여 학생들의 수업 방해 행동에 대한 구체적인 결과는 <Table 9>와 <Figure 4>에 제시되었다.
학생 1의 경우, 기초선 조건에서 수업 방해 행동의 평균 발생률은 88.9%(82.5-94.2%)였으나 중재 조건에서는 평균 17.7%(5.8-39.2%)로 감소하였다. 중재가 제공된 직후 36.7%로 감소하였고, 6회기부터 20% 이하의 안정적인 수준을 보여주었으며, 중재 12회기부터는 10% 이하의 수업 방해 행동을 보여 지속적인 행동의 감소가 관찰되었다. 학생 2는 기초선 조건에서 평균 83.9%(75.0-95.0%)로 높은 수준의 수업 방해 행동을 보였으며, 가변적인 행동이 관찰되었다. 중재 조건에서는 수업 방해 행동의 평균 발생률이 10.2%(2.5-25.0%)로 감소하였다. 중재가 도입된 직후 수업 방해 행동은 15%로 급격히 감소하였으며, 중재가 진행되면서 매우 낮은 수준의 수업 방해 행동이 관찰되었다. 중재 7회기에 교실에서의 냉방 장치 고장으로 인한 더위의 영향으로 25%의 일시적인 증가가 관찰되었으나 중재 조건 전반에 걸쳐 매우 낮은 수준의 수업 방해 행동이 발생하였다. 학생 3의 수업 방해 행동은 기초선 조건에서 평균 89.4%(74.2-97.5%)로 높은 수준의 행동 발생을 보였으나, 중재 조건에서는 평균 10.1%(5.0-15.8%)로 감소하였다. 중재 시작 직후 15.8%로 수업 방해 행동의 급격한 감소를 보였다. 중재 7회기에 학교 공사로 인한 소음으로 학생의 수업 방해 행동이 20%로 일시적인 증가를 보였으나, 중재 조건 전반에 걸쳐 낮은 행동 발생이 관찰되었다.
연구 참여 학생 모두 기능기반의 중재가 제공된 후 과제 수행 행동과 과제 완수율이 증가하였다. 연구 참여 학생들의 과제 수행 행동과 과제 완수율의 결과는 <Table 10>, <Figure 4>, <Figure 5>에 제시되었다.
기초선 조건에서 학생 1의 과제 수행 행동은 평균 10.2%(5.8-14.7%)로 낮은 수준으로 관찰되었으며, 점차 감소하는 경향을 보였다. 중재 조건에서는 평균 82.3%(60.8-94.2%)로 과제 수행 행동이 증가하였다. 중재 도입 직후 과제 수행 행동은 63.3%로 증가하였으며, 이후 회기가 진행되며 점진적인 상승 경향을 보였다. 특히 중재 6회기부터는 80% 이상의 안정적인 수준을 보였고, 중재 12회기 이후에는 90% 이상의 수준이 관찰되었다. 학생 2의 과제 수행 행동은 기초선 조건에서 평균 15.6%(5.0-25.0%)로 발생하였으며, 가변적인 행동을 보였다. 중재가 제공된 직후 과제 수행 행동은 85%로 증가하였고, 중재 조건에서는 평균 89.8%(75.0-97.5%)로 전반적으로 높은 수준을 유지하였다. 중재 4회기부터 90% 이상의 과제 수행 행동이 나타났고, 냉방 장치 고장이 발생한 중재 7회기를 제외하고 모든 회기에서 80% 이상의 행동이 관찰되었다. 학생 3의 경우, 기초선 조건에서 평균 10.5%(2.5-25.8%)의 과제 수행 행동을 보였다. 중재가 도입된 직후 과제 수행 행동은 84.2%로 증가하였으며, 중재 조건에서 평균 89.9%(80.0-94.2%)로 발생하였다. 소음이 발생한 중재 7회기를 제외하고 대부분의 중재 회기에서 안정적인 과제 수행 행동이 관찰되었다.
학생 1의 과제 완수율은 기초선 조건에서 평균 8.3%(5.0-15.0%)를 보였고, 중재가 제공된 직후 70%로 증가하였으며, 이후 회기가 진행되면서 지속적인 상승 경향을 나타냈다. 중재 조건에서는 평균 87.3%(60.0-100%)의 수준이 관찰되었다. 중재 9회기에서는 과제 완수율이 100%에 도달하였고, 이후 95% 이상의 높은 과제 완수율을 나타냈다. 학생 2의 경우, 기초선 조건에서 평균 14.2%(5.0-20.0%)의 과제 완수율을 보였고, 중재가 제공된 직후 90%로 상승하였으며, 중재 조건에서 평균 95.9%(75.0-100%)의 수준을 보였다. 중재 7회기를 제외한 모든 중재 회기에서 90% 이상의 과제 완수율이 관찰되었으며, 중재 2회기부터 100%의 과제 완수율을 보였다. 학생 3은 기초선 조건에서 평균 17.5%(0-25.0%), 중재 조건에서 평균 99.7%(95.0-100%)의 과제 완수율을 보였다. 중재가 제공된 직후 95%로 증가하였으며, 중재 2회기부터는 100%의 완수율이 지속되었다.
연구 참여 학생 모두 중재가 종료된 후 중재 효과를 유지하였으며, 실험 조건에서 중재가 제공되면서 중재가 제공되지 않은 일반화 상황에서도 중재 효과가 관찰되었다. 수업 방해 행동, 과제 수행 행동과 과제 완수율의 유지 및 일반화 결과는 <Table 9>, <Table 10>, <Table 11>과 <Figure 4>, <Figure 5>에 제시되었다.
중재 종료 직후 실시한 유지 조건에서 학생 1의 수업 방해 행동은 평균 10.4%(5.8-17.5%)로 관찰되었으며, 중재 조건에서 감소된 수업 방해 행동이 안정적으로 유지되었다. 유지 조건 1회기에서 13.3%로 중재 종료 직전 회기의 5.8%에 비해 일시적으로 증가하였으나, 이후 회기가 지속되며 감소하는 경향을 나타냈다. 학생 2의 경우, 유지 조건에서의 수업 방해 행동이 평균 3.9%(1.7-8.3%)로 나타났고, 중재 조건에서 관찰된 수업 방해 행동이 중재 종료 이후에도 지속적으로 유지되었다. 학생 3은 유지 조건에서의 수업 방해 행동이 평균 6.7%(4.2-9.2%)로 나타났고, 중재 조건에서의 낮은 수업 방해 행동이 중재 종료 이후에도 안정적으로 유지되었다. 또한 유지 조건을 종료하고 일주일 뒤에 실시된 추수 관찰 조건에서, 학생 1은 평균 10.9%(7.5-14.2%), 학생 2는 2.1%(1.7-2.5%), 학생 3은 3.4%(1.7-5.0%)의 낮은 수준의 행동이 유지되었다.
유지 조건에서의 과제 수행 행동을 살펴보면, 학생 1은 평균 89.6%(82.5-94.2%)로 관찰되었으며, 중재 조건에서 상승 경향을 보이며 향상된 과제 수행 행동이 중재 종료 이후에도 안정적인 수준으로 유지되었다. 유지 조건 1회기에 86.7%로 중재 종료 직전 회기의 94.2%에 비해 감소하였으나, 회기가 지속되며 과제 수행 행동이 상승하는 경향을 보였다. 학생 2는 과제 수행 행동이 평균 96.1%(91.7-98.3%)의 수준을 유지하였으며, 중재 조건에서 향상된 과제 수행 행동이 중재 종료 이후에도 안정적으로 유지되었다. 학생 3의 과제 수행 행동도 평균 93.3%(90.8-95.8%)로 높은 수준을 보이며 안정적으로 유지되었다. 추수 관찰 조건에서 학생 1은 평균 89.2%(85.8-92.5%), 학생 2는 평균 97.9%(97.5-98.3%), 학생 3은 평균 96.7%(95.0-98.3%)의 과제 수행 행동을 보여 유지 조건과 유사하거나 더 높은 수준으로 관찰되었다.
유지 조건에서 학생들의 과제 완수율을 평가한 결과, 학생 1은 평균 98.6%(95.0-100%)로 높은 수준을 보였으며, 중재 종료 이후에도 95% 이상의 수준을 보이며 안정적으로 유지되었다. 학생 2 또한 유지 조건에서 과제 완수율이 평균 100%로 높은 수준을 유지하였고, 학생 3도 유지 조건에서의 과제 완수율이 평균 99.3%(95.0-100%)로 높게 나타나며 중재 종료 이후에도 과제 완수율이 안정적으로 유지되었다. 추수 관찰 조건에서 학생 1은 평균 95%(90.0-100%), 학생 2와 학생 3은 평균 100%의 과제 완수율을 유지하였다.
중재의 일반화 효과를 평가하기 위해 중재가 제공되지 않은 진로와 직업 수업 시간에 수업 방해 행동, 과제 수행 행동과 과제 완수율을 측정한 결과, 연구 참여 학생 모두 중재의 일반화 효과를 보여주었다. 학생 1의 경우, 일반화 상황에서의 수업 방해 행동은 기초선 조건에서 98.3%로 높은 수준으로 발생하였으나, 중재 조건에서는 평균 27.9%(13.3-52.5%)로 실험 조건에서 중재가 제공되면서 일반화 조건에서도 행동의 감소가 관찰되었다. 유지 조건에서 수업 방해 행동은 평균 17.2%(10.8-25.0%)로 유지되었다. 학생 2의 경우, 수업 방해 행동이 기초선 조건에서 평균 89.2%(85.0-93.3%)의 높은 수준을 보였으나, 중재 조건에서는 평균 16.3%(3.3-30.0%)로 감소하였고, 유지 조건에서는 평균 8.3%(5.8-10.8%)의 발생이 관찰되었다. 학생 3의 경우, 수업 방해 행동은 기초선 조건에서 평균 90.6%(87.5-94.2%)로 나타났고, 중재 조건에서는 평균 7.8%(4.2-10.0%)를 보였으며, 유지 조건에서는 수업 방해 행동이 평균 6.3%(5.8-6.7%)의 낮은 발생이 관찰되었다. 추수 관찰 조건에서도 학생 1은 10%, 학생 2는 2.5%, 학생 3은 8.3%의 낮은 발생 수준을 보였다.
일반화 상황에서의 과제 수행 행동을 평가한 결과, 학생 1은 기초선 조건에서 과제 수행 행동이 1.7%로 낮은 수준이었으나, 중재 조건에서는 평균 72.1%(47.5-86.7%)로 향상을 보였다. 유지 조건에서도 과제 수행 행동은 평균 82.8%(75.0-89.2%)의 높은 수준으로 발생하였다. 학생 2의 경우, 과제 수행 행동이 기초선 조건에서 평균 10.4% (5.8-15.0%)였으나, 중재 조건에서는 평균 83.8%(70.0-96.7%)로 향상되었으며, 유지 조건에서도 평균 91.7%(89.2-94.2%)의 수준으로 지속되었다. 또한 학생 3은 기초선 조건에서 과제 수행 행동이 평균 9.4%(5.8-12.5%)로 낮은 수준을 보였으나 중재 조건에서 평균 92.2%(90.0-95.8%)로 향상되었고, 유지 조건에서 평균 93.8%(93.3-94.2%)로 관찰되었다. 추수 관찰 조건에서도 학생 1은 90%, 학생 2는 97.5%, 학생 3은 91.7%로 연구 참여 학생 모두 높은 수준의 과제 수행 행동을 유지하였다.
일반화 상황에서의 과제 완수율을 평가한 결과, 학생 1은 기초선 조건에서 5%의 낮은 과제 완수율을 보였으나, 중재 조건에서는 평균 88.8%(70.0-100%)로 향상되었으며, 유지 조건에서는 평균 90%(70.0-100%)로 관찰되었다. 학생 2의 과제 완수율은 기초선 조건에서 평균 10%(0-20.0%)이었으며, 중재 조건에서는 평균 96.3%(90.0-100%)로 향상되었고, 유지 조건에서 평균 100%를 보였다. 학생 3은 기초선 조건에서 평균 23.3%(15.0-30.0%)의 과제 완수율을 보였으나, 중재 조건에서는 평균 98.3%(95.0-100%)로 향상을 보였고, 유지 조건에서 평균 100%로 관찰되었다. 추수 관찰 조건에서도 학생 1은 95%, 학생 2는 100%, 학생 3은 95%의 높은 과제 완수율을 보였다.
IV. 논의 및 제언
이 연구는 기능기반의 중재가 자폐성장애 중학생의 수업 방해 행동, 과제 수행 행동과 과제 완수율에 미치는 효과와 중재 효과의 유지 및 일반화를 평가하였다. 연구 결과 연구 참여 학생의 수업 방해 행동이 감소하였고, 과제 수행 행동과 과제 완수율은 향상되었다. 또한 행동의 변화는 중재가 제거된 후에도 유지되었으며, 중재가 제공되지 않은 상황에서도 일반화되었다. 연구 결과를 바탕으로 한 논의는 다음과 같다.
첫째, 기능기반의 중재를 적용한 결과 연구 참여 학생들의 수업 방해 행동이 감소하였다. 이는 기능기반의 중재가 장애 학생의 수업 방해 행동의 감소에 효과적이었다고 보고한 선행연구 결과와 일치한다(Kang et al., 2021; Kim et al., 2017; Lane et al., 2007; LeGray et al., 2010; Park & Kim, 2022; Perihan & Bicer, 2021; Petursdottir & Ragnarsdottir, 2019; Shumate & Wills, 2010). 이 연구에서는 간접 평가와 기술적 평가뿐만 아니라 기능분석을 통해 수업 방해 행동의 기능을 평가하였다. 문제행동 기능행동평가에서 보편적으로 사용되는 기술적 평가는 환경 변인과 문제행동 발생 간의 상관관계에 대한 정보만 제공하는 반면, 기능분석은 문제행동과 환경 변인과의 인과관계를 직접적으로 평가할 수 있어 기능행동평가 절차 중 높은 신뢰도와 타당도를 갖춘 평가 방법으로 간주된다(Contreras et al., 2023). 선행연구에서도 기능분석 결과에 기반한 중재의 효과가 보고되었다(Cho & Blair, 2017; Gu & Jung, 2024; Jeong & Jung, 2023; LeGray et al., 2010; Shumate & Wills, 2010). 이 연구에서도 기능분석을 포함한 기능행동평가 결과를 토대로 선행사건 중재, 대체행동 교수, 후속결과 중재를 실행하였다. 수업 방해 행동의 예방을 위해 학생의 행동 기능과 특성에 따라 대체 자극의 제공과 환경 구성을 통한 선행사건 중재를 제공하였다. 자동강화 기능에 대해서는 학생에게 감각자극을 충족시킬 수 있는 물건과 음식을 비수반적으로 제공하고, 선호물이 보이지 않으면 수업 방해 행동을 보이는 학생에게는 학습 공간에 선호물이 보이지만 손에 닿지 않는 위치에 배치하였다. 선호 자극을 비수반적으로 제공하고, 학생의 문제행동을 유발하는 자극을 완화하고 수정하는 환경 구성을 통한 선행사건 중재는 문제행동 예방에 효과적인 것으로 보고되었다(Cho & Blair, 2017; Kang et al., 2021; Lane et al., 2007; Park & Kim, 2022). 대체행동 교수를 위해 수업 방해 행동의 기능에 따라 학생의 언어적 특성을 고려한 기능적 의사소통 기술을 교수하였다. 기능적 의사소통 교수는 학생의 문제행동을 유지시키는 강화제를 기능적 의사소통을 통해 제공함으로써, 적절한 의사소통 기술의 향상과 문제행동의 감소에 효과적이다(Cooper et al., 2025). 이 연구에서도 학생이 수업 방해 행동 대신 기능적 의사소통을 통해 원하는 것을 가질 수 있는 기회를 제공하였다(Cho & Blair, 2017; Gu & Jung, 2024; Jeong & Jung, 2023; Kang et al., 2021; Kim et al., 2017; Park & Kim, 2022). 후속결과 중재로 학생은 수업 방해 행동을 보이지 않고 완수한 과제 항목마다 토큰을 제공받았고, 이후 학생은 토큰을 사용하여 자신의 선호물과 교환할 수 있었다. 토큰은 일반화된 조건 강화제로서 다양한 지원강화제로 교환이 가능하므로 특정 동기 상태와 독립적으로 사용 가능하며, 행동 발생과 강화제 제공 간의 시간과 환경 간의 간격을 연결해 주기 때문에 시간과 공간적 제약으로 강화제 관리가 어려운 현장에서 효과적으로 사용될 수 있다(Cooper et al., 2025). 이 연구에서 학생의 과제 수행에 토큰 강화를 제공하여 문제행동의 감소와 목표 행동의 향상에 긍정적인 영향을 미친 것으로 보인다.
둘째, 기능기반의 중재 제공으로 연구 참여 학생의 과제 수행 행동과 과제 완수율이 향상되었다. 이는 기능기반의 중재가 과제 수행 행동과 과제 완수율의 향상에 효과적이었다고 보고한 선행연구의 결과와도 일치한다(Cho & Blair, 2017; Gu & Jung, 2024; Jeong & Jung, 2023; Kim et al., 2017; Park & Kim, 2022). 위에서 기술한 수업 방해 행동의 감소를 위한 중재 전략 요소가 과제 수행 행동과 과제 완수율의 향상에도 긍정적인 영향을 미쳤다. 특히 과제 수행과 관련하여, 선행사건 중재로 과제 수행 행동과 과제 이탈 행동을 시각적인 단서로 제공하여 시각적 학습자인 자폐성장애 학생들의 목표 행동에 대한 학습을 촉진하였다. 또한 개별 학생들이 선호하는 과제의 형태를 삽입하여 과제를 제시하였고, 태블릿 PC 사용을 통한 과제 수행 기회를 제공하여 참여 학생들의 과제 수행을 지원하였다. 학생의 선호와 강점에 기반한 과제 제시는 문제행동을 예방하고, 수업 참여 및 과제 수행 행동을 촉진한다(Cho & Blair, 2017; Choi & Jung, 2019; Kim et al., 2017; Park & Kim, 2022). 대체행동 교수로, 수업 방해 행동을 하지 않고 과제를 수행하는 행동에 대한 모델링을 제공하였고, 이 모델링은 기대 행동을 명확히 제시하여 학생이 목표 행동을 수행하도록 지원하였다(Methe & Hintze, 2003). 또한 학생이 완성한 과제 항목마다 토큰 강화를 제공하여 학생의 과제 수행과 함께 과제 완성을 강화하여 과제 수행 행동과 과제 완수율을 촉진하였다.
셋째, 기능기반의 중재가 제거된 후에도 수업 방해 행동, 과제 수행 행동과 과제 완수율에 대한 중재 효과가 유지되었으며, 유지 조건 종료 1주 후에 실시된 추수 관찰 조건에서도 중재 효과가 지속되었다. 또한 중재가 제공되지 않은 교과 시간에도 그 효과가 일반화되었다. 이는 수업 방해 행동, 과제 수행 행동에 대한 기능기반 중재의 유지와 일반화 효과를 보고한 선행연구 결과와도 일치한다(Gu & Jung, 2024; Jeong & Jung, 2023; Kang et al., 2021; Park & Kim, 2022; Reeves et al., 2013). 행동 변화의 유지 및 일반화를 위해서는 목표 행동이 일반화 환경에서 자연적으로 강화를 받을 수 있을 정도의 수준으로 빠르고, 정확한 비율과 충분한 강도로 발생할 수 있도록 교수해야 한다(Cooper et al., 2025). 이 연구에서는 과제 수행 행동과 과제 완수율이 높은 수준으로 그리고 지속적으로 발생할 때까지 중재를 지속하여 중재 제거 후, 그리고 일반화 환경에서도 중재의 효과가 유지되었다. 또한 이 연구에서는 학생의 자연적인 환경인 수업 상황에 중재가 통합되어 실행되었기 때문에 중재가 제공되지 않은 교과목 시간에도 학생의 행동 변화가 일반화되었다. 학습자의 교수 환경과 일반화 환경이 유사할수록 유지와 일반화의 가능성은 높아지므로 일상적인 활동, 일과가 진행되는 자연적인 환경에서 자연적인 행동 변화 중재자가 중재를 제공하는 것이 효과적이다(Chandler & Dahlquist, 2015; Cooper et al., 2025).
이 연구의 의의는 다음과 같다.
첫째, 이 연구에서는 학생의 수업 방해 행동과 과제 수행 행동뿐만 아니라 과제 완수율을 함께 측정함으로써, 과제 수행 행동의 성과를 평가하였다. 기능기반의 중재를 적용한 다수의 선행연구들은 학생의 문제행동이나 과제 수행 행동, 수업 참여 행동에 초점을 맞추고 있으며, 과제 수행 및 수업 참여 행동의 향상을 통한 학업 성과를 포함한 연구는 드물었다(Gu & Jung, 2024; Jeong & Jung, 2023). 학생의 과제 참여 및 수행 행동은 학업 성취의 가능성을 높이며, 과제 수행 행동과 성취 간의 명확한 상관관계를 보이지만, 과제 참여 및 수행의 실제적인 산출, 과제 수행의 질, 또는 학업 성취의 평가 또한 중요하다(Petursdottir & Ragnarsdottir, 2019).
둘째, 수업 방해 행동의 기능을 평가하기 위해 연구자인 교사가 간접 평가, 직접 관찰 결과를 토대로 기능분석을 실시하였다. 교사가 실제 교육 환경에서 선행사건과 후속결과를 조작하는 기능분석을 실시하고, 결과에 기반한 중재 계획을 수립하고 실행하였다는 점에서 의의가 있다. 교육 현장에서 간접 평가와 기술적 평가가 보편적으로 사용되지만, 기능분석은 문제행동 발생과 환경 변인과의 인과관계를 직접적으로 평가할 수 있는 보다 신뢰할 수 있는 기능행동평가 절차이며, 타당한 결론을 토대로, 벌에 의존하지 않고 강화 기반의 효과적인 중재 개발에 핵심적인 역할을 한다(Contreras et al., 2023; Cooper et al., 2025; Iwata et al., 1994).
셋째, 이 연구에서는 보호자와 담임교사를 대상으로 사회적 타당도를 평가한 결과, 행동 변화의 목표, 중재 절차, 행동 변화의 효과에 대해 높은 만족도를 보였다. 사회적 타당도는 교육적 가치를 평가하는 중요한 지표이며, 중재의 선택 및 개발에 중요한 지침을 제공한다(Cooper et al., 2025). 이 연구에서의 높은 사회적 타당도 평가 결과는 기능기반의 중재가 교육 실제에서 실행 가능성과 효과 측면에서 긍정적으로 평가되었음을 의미한다.
이 연구는 기능기반의 중재가 자폐성장애 중학생의 수업 방해 행동의 감소, 과제 수행 행동과 완수율의 향상에 대한 효과 및 유지와 일반화 효과를 보여주었다. 그러나 이 연구는 아래와 같은 제한점이 있으며, 이를 바탕으로 후속 연구를 위한 제언을 제시하고자 한다.
첫째, 이 연구는 특수학교에 재학 중인 자폐성장애 중학생 3명을 대상으로 실시되어 연구 결과를 자폐성장애 학생 전체에게 일반화하는 데에 제한점이 있다. 후속 연구에서는 다양한 연령, 행동 특성, 기능 수준의 자폐성장애 학생을 대상으로 중재를 실시할 필요가 있다.
둘째, 이 연구에서는 선행사건 중재, 대체행동 교수, 후속결과 중재의 다요소 중재를 실시하여 행동 변화를 평가하였지만, 연구 기간의 제한으로 각 중재 요소의 효과에 대한 구성요소 분석을 하지 않았다. 따라서 후속 연구에서는 중재 패키지에서 중재 요소들의 상대적 효과를 평가하는 구성요소 분석이 도움이 되겠다.
셋째, 이 연구에서는 과제 수행 행동과 함께 과제 완수율을 평가하였지만, 과제 수행의 성과로 학업 성취를 직접적으로 보여주는 과제 정확률은 평가하지 않았다. 학생이 높은 수준의 과제 완수율을 보였지만, 학습 내용을 정확히 이해하고 적용했는지에 대해서는 평가하지 못했다. 따라서 후속 연구에서는 학업 성취 또는 과제 정확률에 대해 평가할 필요가 있다.





