Ⅰ. 서론
자폐성장애는 다양한 맥락에서 지속적인 사회적 의사소통 및 상호작용의 결함 그리고 제한적이고 반복적인 행동, 관심사, 활동 패턴으로 특징지어진다. 제한적이고 반복적인 행동 패턴은 상동적 운동, 일상에 대한 고수, 고도로 집중된 관심사 및 비정상적인 감각 민감성을 포함한다(Diagnostic and Statistical Manual of Mental Disorders, DSM-5-TR; American Psychiatric Association, 2022). 장애인 등에 대한 특수교육법(2024)에서는 ‘자폐성장애를 지닌 특수교육대상자’를 사회적 상호작용과 의사소통에 결함이 있고, 제한적이고 반복적인 관심과 활동을 보임으로써 교육적 성취 및 일상생활 적응에 도움이 필요한 사람으로 정의하고 있다.
자폐성장애 학생은 사회적 기술, 자기조절 능력과 문제해결 전략의 부족으로 인해 과제수행 행동을 지속하는 데 어려움이 있고(Meindl, Delgado, & Casey, 2020) 이로 인해 체계적인 지원이 요구된다. 자폐성장애 학생의 비효율적인 강화 이력과 낮은 성취동기는 과제 참여의 질을 저하시키며(Meindl et al., 2020), 주의 집중의 어려움과 반복적이고 제한적인 관심사는 과제에 지속적으로 몰입하는 것을 방해하는 요인으로 작용한다(Colle, Baron-Cohen, & Hill, 2007; Hume, Loftin, & Lantz, 2009; Meindl et al., 2020).
자폐성장애 학생의 제한적이고 반복적인 행동은 인지적 결함이 동반되는 경우 단순한 반복 동작, 장난감을 줄 세우거나 흔들기, 반향어나 특이한 어구 사용하기 등의 상동행동으로 나타난다(Lee et al., 2019; Heflin & Alaimo, 2007). 이러한 상동행동은 형태에 따라 신체적 상동행동, 감각적 상동행동과 음성 상동행동으로 분류된다(Watt et al., 2008).
이 가운데 음성 상동행동은 비교적 쉽게 관찰 가능한 형태로 특정 단어나 소리를 반복하거나 이해하기 어려운 소리를 내는 방식으로(Mayes et al., 2012; Shawler, Dianda, & Miguel, 2020) 개인마다 독특한 형태의 반복적인 소리나 문구, TV나 영화 속 대사 흉내내기, 상황에 맞지 않는 웃음 등이 포함된다(Ahrens et al., 2011; Martinez et al., 2016). 이러한 행동은 자해나 공격행동처럼 자신이나 타인의 안전을 직접적으로 위협하지는 않지만, 학습 환경에서는 방해 요인으로 작용하여 자폐성장애 학생 본인의 학습 기회를 제한할 뿐만 아니라 또래 학생의 수업과 주의 집중을 방해하고 교사의 수업 흐름을 저해하여 교실 환경 전반에 부정적인 영향을 미친다(Park & Kim, 2017; Lee et al., 2020). 이와 같은 음성 상동행동이 지속될 경우 학생의 실제 기능보다 과소평가되는 결과로 이어질 수 있으며, 이는 결국 교육적 배제의 근거로 작용할 수 있고(Lee, 2021) 장기적으로는 성인기까지 행동이 유지되어 취업, 대인관계, 자립생활 등 삶의 여러 영역에 부정적인 영향을 미칠 수 있다(Mantzoros, McCoy, & Lee, 2022). 또한 음성 상동행동의 강도와 빈도가 높은 경우 사회적 낙인, 또래로부터의 소외, 학습 기회의 감소, 보호자의 정서적 스트레스 등 다양한 2차적 문제를 야기하는 경우가 있는 것으로도 보고되었다(Conroy et al., 2005; Loftin, Odom, & Lantz, 2008; Harrop, McBee, & Boyd, 2016). 이러한 이유로 음성 상동행동을 감소시키고 동시에 사회적으로 의미 있는 행동을 증가시키기 위한 효과적이고 실행 가능한 중재 전략의 필요성이 강조되고 있다(Lee, 2023).
반응차단 후 재지시는 자동강화에 의해 유지되는 상동행동을 중재하기 위한 전략으로 음성 상동행동이 발생했을 때 지시(재지시 포함)를 통해 반응을 차단하고, 주의 집중을 유도한 후 적절한 반응을 유발하거나 수행하도록 전환하는 구조로 구성된 중재이다(Martinez & Betz, 2013; Spencer & Alkhanji, 2018). 즉, 반응차단 후 재지시는 먼저 언어적 지시나 신체적 유도를 통해 반복적인 행동을 중단시키고 이어서 참여 학생의 기존 행동 레퍼토리에 포함된 반응 중 하나를 요구하여 사회적으로 수용 가능한 대체행동을 수행하도록 전환시키는 방식이다(Ahearn et al., 2007; Miguel et al., 2009). Cassella et al.(2011)은 수정된 반응차단 후 재지시 절차를 적용하여 음성 반응 대신 운동 반응을 유도한 결과 음성 상동행동이 감소함을 보고하였다. 이는 중재 시 요구되는 대체행동의 형태가 상동행동과 다르더라도 참여 학생의 반응 능력이나 상황 맥락에 따라 중재 효과가 나타날 수 있음을 보여주었다.
Ahearn et al.(2007)은 음성 상동행동이 발생할 경우 참여자의 이름을 부르고 눈 맞춤을 요구하며 연속적으로 세 번 적절한 음성 반응을 할 때까지 중재를 지속하는 절차를 사용하여 음성 상동행동 감소와 적절한 음성 반응 비율의 증가를 확인하였다. 이후의 연구(Ahrens et al., 2011; Liu-Gitz & Banda, 2010)에서도 반응차단 후 재지시 절차가 음성 상동행동의 발생 빈도를 감소시키고 적절한 음성 반응을 증가시키는 효과를 일관되게 보여주었다. 국내 연구(Kang, Kim, & Son, 2023)에서는 반응차단 및 재지시와 자기점검을 교대 중재로 적용하여 자폐성 지적장애 학생의 음성 상동행동의 한 형태인 지연반향어 감소에 두 중재 모두 효과적이었다고 보고하였다. 또한 Lee(2023)는 자폐성장애 아동에게 반응차단 후 재지시를 적용하여 음성 상동행동은 감소시키고 동시에 적절한 발성은 향상되는 결과를 보여주었다. 그러나 이 연구들은 반응차단 후 재지시를 통해 음성 상동행동 감소에 보다 초점을 두었으며 적절한 발성을 제외한 다양한 대체행동의 증가까지는 고려하지 못했다. Lanovaz and Sladeczek(2011), Spencer and Alkhanji(2018)는 음성 상동행동의 중재가 효과적인 것으로 여겨지기 위해서는 음성 상동행동의 감소에만 그치지 않고 적절한 대체행동의 증가도 함께 이루어져야 한다고 하였다.
학습환경에서 음성 상동행동은 자폐성장애 학생의 주의 집중과 과제에 지속적으로 몰입하는 것을 방해하여 과제수행을 어렵게 만드는 요인으로 작용한다(Hume et al., 2009; Meindl et al., 2020). 과제수행 행동과 학업 성취는 교육 현장에서 발달시켜야 할 핵심적인 요소이다(Park et al., 2018). 그러나 자폐성장애 학생들은 과제수행 시 타인의 지속적인 도움에 의존하는 경향이 있고(Hume et al., 2009; Smith, Maenner, & Seltzer, 2012), 이러한 의존성은 시간이 지나도 쉽게 감소되지 않으므로 체계적인 중재를 통하여 독립적인 수행 능력을 함양할 필요가 있다(Hume et al., 2009). 자폐성장애 학생의 독립성과 자기조절 능력을 촉진하는 데 효과적인 전략 중 하나인 자기관리는 자기점검, 자기평가, 자기강화 등을 포함하는 절차로 개인이 자신의 행동을 스스로 관찰하고 조절할 수 있도록 가르치는 방법이다(Wehmeyer & Palmer, 2003). 이 중에서 자기점검은 자기관찰과 자기기록을 중심으로 구성되어(Amato-Zech, Hoff, & Doepke, 2006) 학생의 주의 집중을 증가시키고 목표 행동을 명확히 인식할 수 있게 한다(Lee, Simpson, & Shogren, 2007). 이로 인해 자기점검은 행동 변화를 유도하기 위한 중요한 중재로 간주된다(Cooper, Heron, & Heward, 2020).
자기점검은 학생 스스로가 자신의 행동 발생 여부를 기록하고 평가함으로써 교사에 대한 의존도를 줄이고, 피드백을 제공받을 수 있는 방식이다(Sheffield & Waller, 2010). 학생이 스스로 목표하는 행동을 기록하는 것은 자기주도적인 독립 수행에 도움이 되며(Lee et al., 2007), 행동을 기록하는 과정 자체가 해당 행동을 적절하고 바람직한 방향으로 변화시킬 수 있다고 하였다(Kirby et al., 1991). 자기점검은 자폐성장애 학생의 수학과제 수행 및 성취를 향상시키고(Noh, 2000) 수업준비와 과제수행 행동을 증가시키는데 효과적이었다(Park et al., 2021). 또한 자기점검은 비디오 모델링 등 다른 전략과 결합되어 과제수행 행동이나 일상생활 기술 수준을 증가시키는데 효과적이었다(Kim & Jung, 2018; Kim & Paik, 2024; Noh, 2000; Shin & Paik, 2024; Lee, 2016). 이처럼 자기점검은 자폐성장애 학생이 독립적으로 목표를 달성하고 일상생활을 관리하며 과제를 수행할 수 있도록 지원하는 전략으로 널리 활용되고 있다(Cooper et al., 2020).
반응차단 후 재지시와 자기점검은 각각 단일 전략으로도 효과적이지만 다른 전략과 결합하여 적용할 경우 상호보완적인 효과를 기대할 수 있다. 국내에서는 반응차단 후 재지시와 자기점검 전략을 교대로 적용하여 지연반향어 감소와 적절한 음성반응 증가에 효과가 있음이 확인되었으며(Kang et al., 2021), 국외 연구에서는 반응차단 후 재지시와 자기점검 전략을 연합한 중재가 부적절한 발언과 발언 가로채기 행동을 감소시키는데 효과적이었고, 자폐성장애 학생의 사회적 기술 향상에도 긍정적인 영향을 미친 유용한 중재 패키지임을 보여주었다(VanderWoude & Ripple, 2024). 그러나 아직 국내에서는 자폐성장애 학생을 대상으로 반응차단 후 재지시와 자기점검 전략을 연합하여 적용했을 때 음성 상동행동과 과제수행 행동에 어떠한 영향을 미치는지에 대한 연구는 부족한 실정이다. 이에 본 연구는 반응차단 후 재지시와 자기점검을 연합한 중재를 수업에 적용하여, 특수학교에 재학 중인 자폐성장애 중학생의 음성 상동행동 및 과제수행 행동에 미치는 영향과 중재 종료 후 그 효과가 유지되는지에 대하여 알아보고자 하였다.
II. 연구 방법
본 연구의 참여 학생은 A시에 소재한 특수학교 중학교 과정에 재학 중인 자폐성장애 학생 한 명이다. 참여 학생은 부담임교사와의 사전 면담을 통해 학습 환경에서 음성 상동행동을 보이며 과제수행에 어려움을 나타내는 학생을 우선적으로 선정하였다. 부담임교사와의 면담을 통해 1차 참여 학생을 선정한 후, 보호자가 학생의 음성 상동행동 감소와 과제수행 능력 향상 및 유지의 필요성을 느끼고 연구에 동의하는 학생을 최종 선정하였다. 연구 참여 학생의 구체적인 선정 기준은 다음과 같다. 첫째, 특수교육대상자로 선정·배치되어 있으며 이전에 반응차단 후 재지시와 자기점검 전략 연구에 참여한 적이 없는 학생, 둘째, 착석 및 읽기, 쓰기 등 기본적인 학습 기술을 갖춘 학생, 셋째, 교사의 지시를 이해하고 수행할 수 있는 학생, 넷째, 음성 상동행동을 보이는 학생, 다섯째, 보호자가 연구 참여에 동의한 학생이다. 연구 참여 학생의 특성은 <Table 1>과 같다.
| Sex | Age | Disability Type | K-WISC-IV1) | CARS2) | K-SIB-R3) | |
|---|---|---|---|---|---|---|
| Social Age (Years) | Support Level4) (Score) | |||||
| Male | 15 | ASD | 47 | 35.0 | 5.8 | Limited (61) |
제시된 기준에 따라 선정된 연구 참여 학생은 중학교 2학년 자폐성장애 남학생으로, 수업 시간 동안 주의 집중 시간이 짧아 활동 및 개별 과제수행에 어려움을 보이며 교사의 지속적인 도움을 받고 있었다. 참여 학생은 교사의 지시 사항을 일부 수행하고 읽기와 쓰기가 가능하며 색칠하기나 만들기 활동에 부분적으로 참여하였다. 그러나 상황에 맞지 않는 소리내기, 또래의 말 따라하기, 기계음 소리를 반복하기와 같은 음성 상동행동으로 인해 과제를 수행하는 데 어려움을 겪으며 교사의 촉진에 의존하는 모습을 보였다. 음성 상동행동은 위해하지는 않지만 학생 자신과 또래 학생들의 수업에 대한 집중을 방해한다. 가정에서도 음성 상동행동을 지속적으로 보이기 때문에 연구 참여 학생의 보호자 또한 음성 상동행동이 감소하고 보다 적절한 행동으로 대체되길 원하고 있었다.
한국형 웩슬러 아동용 지능검사는 만 6세 0개월부터 만 16세 11개월까지 아동의 지능을 평가하기 위해 개별적으로 실시하는 종합 임상 도구이다. 전반적인 지적 능력을 평가하는 ‘전체 IQ’와 특정 인지 능력을 나타내는 소검사 및 지표 점수를 제공한다. 총 15개의 소검사(토막짜기, 공통성, 숫자, 공통그림찾기, 기호쓰기, 어휘, 순차연결, 행렬추리, 이해, 동형찾기, 빠진 곳 찾기, 선택, 상식, 산수, 단어추리)로 구성되어 있고, 지적장애의 정도나 인지적 강점과 약점을 파악하는데 사용 가능하며 검사 도구의 신뢰도는 Cronbach α=. 94이다(Kim & Paik, 2016).
CARS는 아동에 대한 직접 관찰과 부모 또는 주 양육자와의 개별 면담을 바탕으로 평정하는 반구조화된 척도로 사회적 의사소통, 특이한 감각 반응, 제한적이고 반복적인 상동행동 등 세 가지 요인을 반영하는 15문항으로 구성되어 있다(Kim & Seo, 2016). 각 문항은 1점에서 4점으로 평가되며, 1점은 ‘아동의 연령에서 정상 범위에 해당’, 2점은 ‘경증 비정상’, 3점은 ‘중간 비정상’, 그리고 4점은 ‘중증 비정상’을 의미한다. 따라서 CARS 점수가 낮을수록 자폐증 진단에 속하지 않으며, 15.0∼29.5점은 자폐증 아님, 30.0∼36.5점은 경증·중증 정도의 자폐증, 37.0∼60.0점은 중증 자폐증으로 분류된다(Kim & Seo, 2016). 한국형 아동기 자폐증 평정 척도의 신뢰도는 Cronbach α= .87로 보고되었고(Shin & Kim, 1997), 질문지 형태의 평정도구임에도 불구하고 Mick(2005)의 연구에서는 91.9%, Rellini et al.(2004)의 연구에서는 100%의 변별 정확도를 보였다(Kwon & Ha, 2015).
한국판 적응행동 검사는 학교, 가정 및 지역사회에서의 독립 및 적응 기능을 측정하는 표준화된 규준지향 평가도구이다. 검사는 독립적 적응행동 영역과 문제행동 영역으로 분류되고 14개의 하위척도(대근육 운동, 소근육 운동, 사회적 상호작용, 언어 이해, 언어 표현, 식사와 음식 준비, 신변처리, 옷 입기, 개인위생, 가사・적응행동, 시간 이해 및 엄수, 경제생활, 작업 기술, 이동 기술, 자신을 해치는 행동, 특이한 반복적인 습관, 위축된 행동이나 부주의한 행동, 타인을 해치는 행동, 물건을 파괴하는 행동, 방해하는 행동, 사회적으로 공격적인 행동, 비협조적인 행동)로 구성되어 있다. Choi et al.(2009)의 연구 결과 K-SIB-R은 K-ABS의 준거에 비추어 적응행동 검사 도구로서 타당성이 입증되었고, 검사 도구의 신뢰도는 Cronbach α= .99로 보고되었다(Paik, Lee, & Cho, 2011).
자기점검은 학생이 자신의 행동을 스스로 평가하여 목표 행동을 수행했는지 확인하고, 그 행동의 발생 여부를 기록하는 중재 방법이다(Hume et al., 2009; Lee et al., 2007; Lienemann & Reid, 2006). 특정 시간 간격 동안 학생의 학업이나 행동 목표에 대하여 자기관찰을 할 때에는 종이에 작성하는 체크리스트가 적합하다는 연구 결과(Southall & Gast, 2011)에 따라 자기점검표는 종이 기록지로 제시하였다. 본 연구에서는 연구 참여 학생이 자기점검표에 스스로 자신의 행동 수행 여부를 예, 아니오로 구분하여 체크 표시(V)로 기록하도록 하였다.
본 연구는 A시에 소재한 특수학교에서 실시되었다. 연구는 교실, 직업준비실, 도서관 세 장소에서 이루어졌다. 교실에서는 창의적 체험활동, 직업준비실에서는 진로와 직업, 도서관에서는 국어 수업이 진행되었다. 교실 전면에는 칠판과 벽걸이 텔레비전이 설치되어 있고 학생 책상은 이를 마주 보도록 배치되어 있다. 칠판을 기준으로 오른쪽 벽면에는 세면대, 뒤쪽에는 사물함이 비치되어 있다. 직업준비실 앞쪽에는 전자칠판이 설치되어 있으며 모둠 활동을 할 수 있는 책상이 마주 보게 배치되어 있고 그 옆에는 교구장이 있다. 도서관에는 서가를 중심으로 오른쪽에 모둠 책상이 있다. 교실에서는 1인 책상에서, 직업준비실과 도서관에서는 모둠 책상에서 연구를 진행하였다.
본 연구를 실시하기에 앞서 행동에 대해 다음과 같이 조작적 정의를 내렸다. 표적행동인 음성 상동행동과 목표행동인 과제수행 행동에 대한 조작적 정의는 <Table 2>와 같다. 각 회기의 측정은 매회 수업 중 개별 과제 수행 시간 10분 동안 부분 간격 기록법을 사용하여 실시하였다.
연구 참여 학생의 기초 정보를 파악하기 위해 연구 참여 학생의 부담임교사 및 교과 담당 교사와 상담을 실시하고 학교생활과 관련된 문서자료를 검토하였다. 검토한 문서자료에는 일상생활 및 적응행동 능력, 교과 학습에 관한 기록, 개별화교육계획(IEP), 개별화교육팀 협의록, 학교생활기록부 등이 포함되었다. 이를 바탕으로 연구 참여 학생의 전반적인 행동 특성, 가정생활 및 학교생활에 대한 정보를 종합적으로 파악할 수 있었다.
본 연구에서는 문제행동의 기능을 파악하기 위한 기초정보를 수집하기 위해 교사와 관계자를 대상으로 하는 기능평가 체크리스트를 사용하였다(March et al., 2000). 기능평가 체크리스트는 연구 참여 학생의 부담임교사 및 교과 담당 교사와의 면담을 통해 작성되었다. 면담을 통해 문제행동에 영향을 미치는 다양한 정보를 수집·분석한 결과, 연구 참여 학생의 음성 상동행동은 외부 보상이나 사회적 반응과는 관련 없이 감각적 자극을 얻기 위해 반복되는 자동적 강화 기능의 행동으로 나타났다. 이러한 기능적 특성으로 인해 음성 상동행동이 지속되었고, 그 결과 학생은 수업 중 과제를 시작하거나 집중하여 수행하는 데 어려움을 보이는 것으로 확인되었다.
연구 참여 학생이 보이는 문제행동의 기능을 파악하기 위해 문제행동 발생 동기 평가 척도를 활용하였다(Durand & Crimmins, 1992). 평가 결과, 문제행동의 기능 관련 점수는 감각 변인 18점(평균 4.5점), 관심 변인 7점(평균 1.75점), 물질적 보상 변인 6점(평균 1.5점), 회피 변인 5점(평균 1.25점) 순으로 나타났다. 즉, 연구 참여 학생의 음성 상동행동 기능은 ‘감각’ 변인이 가장 높은 것으로 확인되었다. 연구 참여 학생의 문제행동 발생 동기 평가 척도(MAS) 결과는 <Table 3>과 같다.
| Vocal Stereotypy | Rank | 1 | 2 | 3 | 4 | ||||
| Sensory | Attention | Tangible | Escape | ||||||
| Score | Total | Mean | Total | Mean | Total | Mean | Total | Mean | |
| 18 | 4.5 | 7 | 1.75 | 6 | 1.5 | 5 | 1.25 | ||
연구 참여 학생의 행동 특성을 보다 구체적으로 파악하기 위해 기능평가 체크리스트의 내용을 참고하여 수업 시간 동안 문제행동이 발생할 때마다 A-B-C 관찰기록지를 활용해 선행사건, 행동, 후속결과를 관찰하고 기록하였다. 관찰 결과 연구 참여 학생은 수업 중 교사 및 또래로부터 관심이 제공되고 선호하는 활동 과제가 제시되는 상황에서도 음성 상동행동을 지속적으로 보였다.
자극 선호도 평가 방법으로 대체 없는 중다 자극 선호도 평가(Multiple Stimulus Without Replacement, MSWO)를 실시하였다(Curiel et al., 2024). 보호자 면담을 통해 수집한 정보를 바탕으로 선호하는 음식물 및 활동 목록을 만들고, 각 자극에 대한 선호도는 5회기에 걸쳐 평가하였다. 활동 선호도 평가 결과 스티커 붙이기, 그네 타기, 킥보드 타기 순으로 높은 선호도를 보였고, 음식 선호도 평가 결과에서는 쿠키, 젤리, 초콜릿에 대한 선호도가 높게 나타났다. 연구 참여 학생의 자극 선호도 평가 결과는 <Table 4>에 제시하였으며, 선호 자극은 학생의 적절한 반응에 대한 강화물로 제공되었다.
| Rank | Edible Item | Activity |
|---|---|---|
| 1 | Cookie | Putting stickers |
| 2 | Jelly | Swinging |
| 3 | Chocolate | Riding a kickboard |
| 4 | Gum | Riding an elevator |
| 5 | Potato snack | Playing with a gym ball |
본 연구는 상황 간 중다 기초선 설계를 적용하여 교실, 직업준비실, 도서관 상황에서 연구 참여 학생의 음성 상동행동과 과제수행 행동을 관찰하였다. 연구자는 학생이 과제 활동을 수행하는 동안 음성 상동행동을 보일 경우 “○○아”라고 이름을 부르는 언어적 촉구 외에는 어떠한 추가적인 촉진도 제공하지 않았다. 기초선은 각 상황별로 측정하였으며 학생의 행동이 안정적으로 관찰될 때까지 진행되었다.
중재를 시작하기 전, 9월 셋째 주부터 넷째 주까지 자기점검표 사용을 위한 사전 교수를 실시하였다. 연구자는 교실에서 자기점검표의 사용 및 기록 방법, 그리고 점검할 행동의 정의를 학생에게 설명하였다. 연구자와 학생의 자기점검 기록이 회기당 3개 이상 일치하는 결과가 3회기 연속으로 확인될 때까지 사전 교수를 진행하였다.
중재는 기초선과 동일한 교실, 직업준비실, 도서관에서 제시된 과제를 수행하는 10분 동안 실시하였다. 음성 상동행동이 5초 이상 지속되면 연구자는 먼저 학생의 이름을 중립적인 어조로 부른다. 이후 수업 상황에 따라 반응차단 후 재지시를 최대 3회 반복하여 실시하였다. 연구 참여 학생이 과제수행 중 음성 상동행동을 보일 경우 교사가 개별적으로 “지금 쓰는 부분 읽어볼까요?”, “이제 무엇을 해야 할까요?” 등의 질문을 통해 반응을 유도하고, 대답할 경우 “지금 쓰고 있는 부분을 이어서 써 볼까요?” 등 과제와 관련된 지시를 연속적으로 제공하였다. 이때 음성 상동행동 없이 지시를 수행하면 해당 과제를 언급하며 간단한 언어적 칭찬을 제공하였다. 학생이 세 번의 연속적인 지시에도 과제를 수행하지 않으면 연구자는 질문에 대한 정답을 말해주어 음성 모방을 유도하고 쓰기나 만들기 관련 지시에는 모델링을 통해 반응을 유도하였다. 이러한 절차는 음성 상동행동이 발생할 때마다 반복하여 적용하였다. 반응차단 후 재지시가 이루어지는 동안 발생한 음성 상동행동은 측정하지 않았다. 음성 상동행동이 5초 이내에 종료될 경우에는 개입 없이 과제수행을 계속 이어가도록 하였다. 과제수행이 종료된 후, 학생은 연필을 이용하여 자기점검표에 자신의 수행 여부를 ‘예’, ‘아니오’로 구분하여 스스로 체크하였다. 자기점검표 작성이 완료되면, 연구자는 자신의 기록지와 학생의 자기점검표가 일치하는지 학생이 직접 확인하도록 하였다. 비교 후 결과를 바탕으로 학생에게 자기점검 기록의 정확성에 대한 피드백을 제공하고 정반응 일치 수에 따라 강화를 제공하였다. 정반응 일치 항목이 3개 이상일 경우 학생은 사전에 선택한 선호 활동을 하거나 음식을 강화물로 받을 수 있었다.
교실 상황에서 음성 상동행동이 감소하고 과제수행 행동이 증가하여 안정적인 경향을 보이면 직업준비실로 중재를 확장하였고 직업준비실에서 교실과 유사한 경향을 보이면 도서관에서도 중재를 도입하였다. 각 상황별로 연속 3회기 동안 음성 상동행동 발생률이 20% 이하이고, 과제수행 행동 발생률이 50% 이상이면 중재를 종료하였다.
본 연구에서는 각 상황에서 발생하는 연구 참여 학생의 음성 상동행동과 과제수행 행동을 관찰하고 행동 측정 기록지를 사용하였다. 연구 참여 학생의 행동 발생 자료 수집은 매 회기 수업 시작 15분 후부터 개별적으로 과제를 수행하는 10분 동안 학생의 행동을 직접 관찰하면서 동시에 동영상으로 촬영하였다. 기초선, 중재, 유지 조건에 따라 표기한 후 10초씩 60개의 간격을 설정하여 음성 상동행동과 과제수행 행동 발생은 ‘+’, 비발생은 ‘-’로 기록하였다. 행동 발생 구간의 수를 총 관찰 구간의 수로 나눈 뒤, 100을 곱하여 행동 발생 간격 백분율(%)로 환산하여 산출하였다.
중재 효과는 개선율의 차이(Improvement Rate Difference; IRD)를 사용하여 분석하였다. IRD는 기초선과 중재 단계 간 향상된 비율의 차이를 나타내는 지표로, 중재 단계에서 향상된 점의 수를 중재 단계 총 자료점 수로 나눈 값에서, 기초선 단계에서 향상되지 않은 점의 수를 기초선 단계 총 자료점 수로 나눈 값을 뺀 값으로 산출된다(Parker, Vannest, & Davis, 2011). 산출된 IRD 값이 0.0~0.49는 낮은 효과, 0.50~0.69는 중간 정도 효과, 0.70 이상은 높은 효과로 해석한다(Parker, Vannest, & Brown, 2009).
그러나 IRD는 비중복 자료점만 사용하기 때문에 자료점 수가 적을 경우 효과 크기가 극단적으로 높거나 낮게 계산될 수 있다. 이에 본 연구에서는 자료점 수가 적은 조건에서 중재 효과의 타당성을 보완하기 위해 Tau-U를 함께 사용하였다. Tau-U는 기초선의 경향성을 보정할 수 있고, 기초선과 중재 단계의 비중복 정도와 중재 단계의 경향성을 동시에 고려할 수 있는 비모수 통계 지표이다(Parker et al., 2011). 본 연구에서는 기초선과 중재 단계의 효과 크기를 singlecaseresearch.org에서 제공하는 Tau-U 온라인 계산기를 이용하여 값을 산출하였다. Tau-U는 –1에서 +1까지의 값을 가지며, 양수일 경우 중재 후 목표행동이 긍정적으로 개선되었음을 의미한다. Tau-U 값이 0.0~0.62는 낮은 효과, 0.63~0.92는 중간 정도의 효과, 0.93~1.00은 높은 효과가 있는 것으로 해석한다(Parker et al., 2009; Parker et al., 2011).
관찰자 간 신뢰도를 측정하기 위해 녹화된 동영상을 각각 시청한 후 연구 참여 학생의 음성 상동행동과 과제수행 행동 발생률을 측정하였다. 제1관찰자는 연구자이고 제2관찰자는 심리행동치료를 전공하고 현재 특수교육 현장에서 근무 중인 특수교사로 선정하였다. 관찰자 간 일치도는 관찰자에게는 행동의 조작적 정의와 기록 방법에 대한 사전 교육을 실시하였으며 독립적으로 녹화된 수업 영상을 보며 행동을 기록하도록 하였다. 관찰자 훈련은 관찰자 간 신뢰도가 2회기 연속 90% 이상으로 나타날 때까지 진행되었다. 관찰자 간 일치도는 기초선, 중재, 유지 단계 각 회기의 30%에 해당하는 회기를 무작위로 선정하여 실시하였으며 일치 간격 수와 불일치 간격 수를 더하여 일치 간격 수로 나눈 값에 100을 곱하여 산출하였다. 음성 상동행동에서의 일치도는 평균 94%, 범위는 91.7%-96.7%였고, 과제수행 행동에서의 일치도는 평균 94.2%, 범위는 93.3%-96.7%였다.
본 연구에서는 각 조건에서 절차가 계획된 대로 일관되게 수행되었는지를 확인하기 위해 절차 충실도 평가를 실시하였다. 절차 충실도는 기초선, 중재, 유지의 각 조건에서 전체 세션의 30%를 무작위로 선정하고, 영상 자료를 분석하여 평가하였다. 평가자는 관찰자와 동일한 2명으로 구성되었다. 절차 충실도 평가를 위한 체크리스트는 각 조건에 적합한 절차의 단계를 구체적으로 정의하고, 각 단계의 수행 여부를 ‘예’ 또는 ‘아니오’로 기록할 수 있도록 구성하였다. 절차 충실도 평가에 사용된 체크리스트는 <Table 5>에 제시하였다. 절차 충실도는 중재 단계에서 평균 96.7%, 범위는 88.9%-100%로, 기초선 및 유지 단계에서는 평균 100%로 측정되었다.
사회적 타당도는 중재 종료 후 중재의 목표, 절차, 결과에 대한 적절성과 중요성을 부담임교사, 동료교사, 보호자가 평가하였다. 해당 체크리스트는 Gu & Jung (2024)을 참고하여 수정·보완하여 제작하였으며, 총 9개 문항으로 구성되었다. 점수는 리커드 5점 척도를 사용하였다. 전체 평균 점수는 4.78점, 범위는 4.67점에서 4.89점으로 나타났다.
평가자 전원은 중재 목표의 적절성과 중재 절차의 수용성에 해당하는 6개 문항에 대해 모두 5점을 부여하였다. 세부 문항별로 살펴보면 “중재 목표가 연구 참여 학생의 개별적 요구와 발달 수준을 적절히 반영하고, 중재 절차가 학생의 목표 행동 개선에 효과적이며 학생 및 보호자 입장에서 수용 가능하다고 생각하는가”에 대해 모든 평가자가 ‘매우 그렇다’고 응답하였다. 한편, “중재 결과가 학생의 음성 상동행동 감소와 과제수행 행동 향상에 긍정적인 영향을 미치고, 학교생활 및 일상생활 적응향상에 기여하였는가”라는 문항에서는 일부 응답에서 차이가 있었으나, 모두 4점 이상을 부여하여 전반적으로 긍정적으로 평가되었다. 이러한 결과를 바탕으로 반응차단 후 재지시와 자기점검 전략이 연구 참여 학생에게 전반적으로 유용하고 사회적으로 수용 가능한 중재로 평가되었음을 확인할 수 있었다.
Ⅲ. 연구 결과
본 연구는 반응차단 후 재지시와 자기점검 전략을 연합한 중재가 자폐성장애 중학생의 음성 상동행동과 과제수행 행동에 미치는 영향을 살펴보고, 중재 종료 후에도 행동 변화를 유지하는지에 대해 알아보았다. 연구 목적에 따라 연구 참여 학생에게 교실에서의 창의적 체험활동, 직업준비실에서 진로와 직업, 도서관에서 국어 수업을 상황 간 중다 기초선 설계로 중재하였고, 음성 상동행동과 과제수행 행동에 대한 중재의 기능적 관계를 분석하였다.
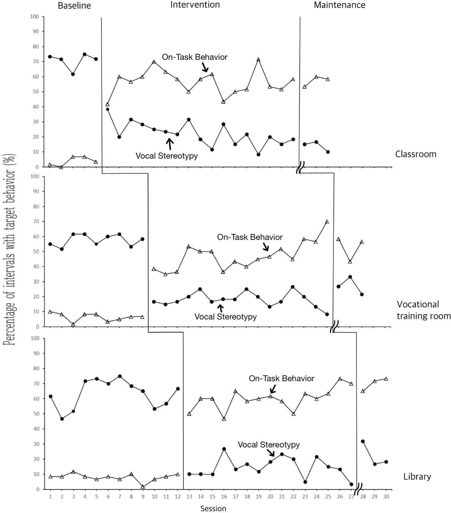
연구 참여 학생의 음성 상동행동에 대한 기초선, 중재, 유지 기간 발생률의 평균과 범위는 <Table 6>에 제시하였으며, 행동 변화에 대한 그래프는 <Figure 1>에 나타내었다. 연구 결과 교실, 직업준비실, 도서관 모든 상황에서 음성 상동행동이 감소하였으며 중재 종료 후에도 감소된 수준이 유지되었다.
반응차단 후 재지시와 자기점검을 연합한 중재를 자폐성장애 중학생에게 적용한 결과 연구 참여 학생의 음성 상동행동이 전반적으로 감소하였다. 교실 상황에서 음성 상동행동의 기초선 평균 발생률은 70.7%(61.7–75%)였으나, 중재 이후 평균 22.2%(8.3–38.3%)로 감소하였다. 중재 적용 후 2회기까지 음성 상동행동이 20% 수준으로 급격히 감소하였으며 중재 3회기와 8회기에서 일시적인 증가가 관찰되었다. 이후 11회기부터는 가변적인 발생률이 관찰되었으나 전반적으로 감소하는 경향을 유지하였다. 유지 기간 동안에도 음성 상동행동은 평균 13.9%(10.0–16.7%)로 안정된 수준이 지속되었다. 교실에서 음성 상동행동 발생률에 대한 IRD 값은 1.00으로 높은 중재 효과가 있는 것으로 나타났고, Tau-U 값도 1.00으로 매우 높은 수준의 중재 효과를 나타냈다.
직업준비실 상황에서는 음성 상동행동의 기초선 평균 발생률이 57.6%(51.7–61.7%)였으나, 중재 실시 후 평균 18.1%(8.3–26.7%)로 감소하였다. 중재 기간 동안 18회기와 22회기에서 일시적으로 소폭 상승하는 양상이 관찰되었으나 전체적으로는 안정적인 수준에서 감소하는 경향을 유지하였다. 유지 기간 동안 음성 상동행동은 평균 27.2%(21.7–33.3%)로 유지되었다. 직업준비실 상황에서도 IRD 값은 1.00으로 매우 높은 중재 효과를 나타냈고, Tau-U 값은 0.94로 높은 수준의 중재 효과가 확인되었다.
도서관 상황에서는 음성 상동행동의 기초선 평균 발생률이 63.3%(46.7–75%)였으며, 중재 실시 후 평균 14.6%(5–26.7%)로 감소하였다. 중재 기간 동안 16회기와 24회기에서 일시적으로 증가하는 모습이 관찰되었으나 전체적으로는 음성 상동행동이 안정적으로 감소하는 경향을 보였다. 유지 기간 동안 음성 상동행동은 평균 22.2%(16.7–31.7%)로 안정적으로 유지되었다. 도서관 상황에서도 IRD 값은 1.00 매우 높은 중재 효과를 나타냈고, Tau-U 값은 0.97로 상당히 높은 수준의 효과를 확인하였다.
연구 참여 학생의 과제수행 행동에 대한 기초선, 중재, 유지 기간 발생률의 평균과 범위를 <Table 7>에 제시하였으며, 행동 변화에 대한 그래프는 <Figure 1>에 제시하였다. 연구 결과 교실, 직업준비실, 도서관 모든 상황에서 과제수행 행동은 증가되었고 중재 종료 이후에도 유지되었다.
반응차단 후 재지시와 자기점검을 연합한 중재를 자폐성장애 중학생에게 적용한 결과 연구 참여 학생의 과제수행 행동이 전반적으로 증가하였다. 교실 상황에서 과제수행 행동의 기초선 평균 발생률은 3.7%(0–6.7%)였으나 중재 실시 후 평균 56.5%(41.7–71.7%)로 크게 향상되었다. 중재 기간 동안 11회기부터 13회기 동안 과제수행 행동 발생률이 일시적으로 감소하는 경향을 보인 후 증가하였으며 16회기에 다시 소폭 하락하는 모습이 나타났다. 이후 17회기부터는 비교적 안정적인 수준을 유지하였다. 유지 기간 동안에도 과제수행 행동은 평균 57.2%(53.3–60%)로 유지되었다. 교실에서 과제수행 행동 발생률에 대한 IRD 값은 1.00으로 매우 높은 중재 효과를 나타냈고, Tau-U 값은 0.70으로 중간 수준의 효과를 확인하였다.
직업준비실 상황에서는 과제수행 행동의 기초선 평균 발생률이 6.5%(1.7–10%)였으나 중재 실시 후 평균 47.2%(36.4–70%)로 증가하였다. 중재 기간 동안 16회기와 22회기에서 일시적으로 낮아지는 모습이 관찰되었지만 전반적으로는 과제수행 행동이 지속적으로 증가하는 경향을 보였다. 유지 기간 동안 과제수행 행동은 평균 52.8%(43.3–58.3%)로 유지되었다. 직업준비실 상황에서 IRD 값은 1.00으로 매우 높은 수준의 중재 효과를 나타냈고 Tau-U 값도 1.00으로 상당히 높은 수준의 중재 효과를 확인하였다.
도서관 상황에서는 과제수행 행동의 기초선 평균 발생률은 7.9%(1.7–11.7%)였으며, 중재 실시 후 평균 60.0% (46.7–73.3%)로 증가하였다. 중재 기간 동안 16회기와 22회기에서 일시적으로 감소하는 모습이 관찰되었지만 전체적으로는 과제수행 행동이 안정적으로 증가하는 경향을 보였다. 유지 기간 동안 과제수행 행동은 평균 70.0%(65.0–73.3%)로 안정적으로 유지되었다. 도서관 상황에서도 IRD 값은 1.00, Tau-U 값도 1.00으로 모두 매우 높은 수준의 중재 효과를 확인하였다.
IV. 결론 및 논의
본 연구는 반응차단 후 재지시와 자기점검 전략을 연합한 중재가 자폐성장애 학생의 음성 상동행동과 과제수행 행동에 미치는 영향을 알아보고자 하였다. 중재는 교실, 직업준비실, 도서관이라는 독립된 상황에서 실시되었으며, 연구 설계로는 상황 간 중다 기초선 설계를 사용하였다. 연구 결과를 토대로 한 논의는 다음과 같다.
첫째, 반응차단 후 재지시와 자기점검은 자폐성장애 학생의 음성 상동행동 감소에 효과적이었다. 기초선 단계 평균 63.9%였던 음성 상동행동 발생률은 중재 단계에서 평균 18.3%로 감소했으며, 유지 단계에서도 평균 21.1%로 낮은 수준을 유지하였다. IRD 값은 모든 상황에서 1.00으로 매우 높은 수준의 중재 효과를 나타냈고, Tau-U 값 역시 1.00, 0.94, 0.97로 높은 수준의 중재 효과를 확인할 수 있었다.
이러한 결과는 음성 상동행동이 자동적 강화 기능에 의해 반복되는 행동이라는 점을 고려할 때, 감각적 강화에 접근하는 반응차단 절차가 문제행동의 강화 과정을 약화시키고, 이어지는 재지시를 통해 대체행동으로 전환하도록 촉진한 데에서 기인한 것으로 보인다. 더불어 자기점검 전략은 학생이 자신의 행동을 인식하고 조절하도록 하여 음성 상동행동의 발생을 지속적으로 줄이는 데 기여한 것으로 보인다. 이는 반응차단 후 재지시와 자기점검 전략이 음성 상동행동 감소에 효과적임을 보고한 Mantzoros et al.(2022)의 연구와 일치한다.
상황별 변화 또한 유사한 경향을 보였다. 교실에서는 다소 가변적인 양상이 관찰되었으나 중재 단계 평균 22.2%, 유지 단계 평균 13.9%로 전반적으로 감소하였다. 직업준비실에서는 중재가 진행되는 동안 평균 18.1%를 유지하며 안정적인 감소 효과가 나타났고, 도서관에서는 중재 단계 평균 14.6%로 가장 낮은 음성 상동행동 발생률을 보였으며 유지 단계에서도 평균 22.2%로 기초선보다 낮은 수준을 유지하였다. 이러한 결과는 반응차단 후 재지시와 자기점검이 자폐성 경향을 보이는 지적장애 학생의 지연반향어 감소에 효과적이었다는 연구(Kang et al., 2023), 자기점검이 자폐성장애 학생의 사회적 기술, 과제수행 행동, 놀이 기술, 일상생활 기술 향상뿐 아니라 상동행동과 같은 부적응 행동의 감소에 긍정적인 영향을 미쳤다는 연구(Davis et al., 2016; Hume et al., 2009)와 일관된 결과이다.
둘째, 반응차단 후 재지시와 자기점검 전략은 자폐성장애 학생의 과제수행 행동 증가에도 효과적이었다. 기초선 단계에서 평균 6%였던 과제수행 행동은 중재 단계에서는 평균 54.6%로 증가하였으며, 유지 단계에서도 평균 60%로 중재 효과가 지속되었다. IRD 값은 모든 상황에서 1.00으로 매우 높은 효과를 나타냈으며, Tau-U 값은 교실에서는 0.70으로 중간 정도의 효과를, 직업준비실과 도서관에서는 각각 1.00으로 높은 수준의 효과가 있음을 확인하였다. 과제수행 행동의 이러한 변화는 반응차단 절차가 음성 상동행동으로 인해 과제 참여가 방해되는 상황을 줄이고, 즉각적인 재지시가 학생이 과제로 다시 참여하도록 촉진한 결과로 보인다. 또한 자기점검 전략은 학생이 자신의 행동을 스스로 점검하고 조절하도록 함으로써 주의 집중과 과제 지속성을 강화한 것으로 보인다.
상황별로 과제수행 행동 발생률을 살펴보면, 교실의 경우 중재 단계 평균 56.5%로 기초선 단계 평균 3.7%보다 크게 증가하였고 유지 단계에서도 평균 57.2%로 안정적인 수준을 유지하였다. 사전 수업 경험이 거의 없었던 직업준비실에서도 중재가 진행됨에 따라 과제수행 행동이 점진적으로 증가하여 중재 단계 평균 47.2%, 유지 단계 평균 52.8%로 비교적 안정된 반응을 보였다. 이는 새로운 환경에서도 반응차단 후 재지시와 자기점검이 효과적이었음을 의미한다. 도서관에서는 중재 단계에서 평균 60%, 유지 단계에서 평균 70%로 세 장소 중 가장 높은 과제수행 행동 발생률을 나타냈다.
이러한 결과는 반응차단 후 재지시가 자폐성장애 학생의 음성 상동행동 감소와 동시에 적절한 발성을 증가시키고(Lee, 2023), 자기평가와 기록을 포함한 자기점검이 학업 및 행동 변화에 긍정적 영향을 미쳤다는 선행연구(Davis et al., 2016)와 일치한다. 또한 자기점검이 다양한 중재와 결합되어 일상생활 기술, 적응행동, 사회성 기술 향상, 과제수행 행동 증가 및 문제행동 감소에 효과적이었다는 연구(Gu & Jung, 2024; Kim & Jung, 2018; Kim & Paik, 2024; Shin & Paik, 2024; Lee, 2010) 결과와 일치한다.
끝으로 후속 연구에 대한 제언은 다음과 같다.
첫째, 본 연구는 선행연구들과 일치하는 결과를 얻었지만 음성 상동행동 데이터를 수집하는 방식에서 단절된 측정(interrupted measurement)과 전체 세션 측정(uninterrupted data collection) 중 단절된 측정 데이터를 사용했다는 차이점이 있다. 전체 세션은 반응차단 후 재지시가 진행되는 동안 발생한 모든 음성 상동행동을 측정하는 것이다. 그러나 본 연구에서는 반응차단 후 재지시가 시작되어 학생이 음성 상동행동을 멈추고 과제를 지시에 따라 시작하는 순간까지 발생한 음성 상동행동은 측정하지 않는 단절된 측정 데이터를 사용하였다. Carroll and Kodak(2014)의 연구에 따르면, 반응차단 후 재지시 중재 동안에도 음성 상동행동은 발생할 수 있으며 이를 기록하지 않는 단절된 측정 방식은 중재 효과를 과대평가할 가능성이 있다. 따라서 본 연구의 단절된 측정 방식은 음성 상동행동 발생 감소 비율에 영향을 미쳤을 수도 있다. 후속 연구에서는 단절된 측정 방식과 전체 세션 측정 방식을 병행하여 비교·평가할 필요가 있다.
둘째, 본 연구에서는 과제수행 행동의 발생률만을 측정하였기 때문에 학업 수행의 질적 측면인 과제 완수율과 정확성에 대한 평가는 이루어지지 않았다. 과제수행을 통한 학업성취는 학습의 양과 질을 높이는 데 중요한 요소로 작용한다는 점(Kim, 2012)을 고려할 때, 후속 연구에서는 과제수행뿐 아니라 과제 완수율, 정확성 등 질적 측면을 포함하여 학업성취 수준을 평가할 필요가 있다(Noh, 2000; Jeong & Jung, 2023).
셋째, 자기점검 측정 도구 선택 과정에서 학생의 선호가 반영되지 못한 점도 한계로 지적된다. Southall and Gast(2011)의 연구를 근거로 종이 기반 체크리스트만을 사용하였으나, Bouck et al.(2014)은 하이테크(iPad)와 로우테크(종이·연필) 도구 간 선호도 차이에 따라 동기 유발과 과제 참여도가 달라질 수 있다고 보고하였다. 이에 따라 장애 특성과 주의 집중 수준, 학생 선호를 고려한 도구 선택이 후속 연구에서는 필요하다.
넷째, 본 연구는 자폐성장애 중학생 1명을 대상으로 실시된 단일사례 연구이기 때문에 연구 결과를 다양한 장애 유형이나 연령대로 일반화하기 어렵다. 또한 교실, 직업준비실, 도서관 세 장소에서만 중재가 이루어져 다른 환경에서의 일반화 여부를 확인하지 못하였다. 음성 상동행동은 가정이나 지역사회 등 다양한 상황에서 나타나며 성인기까지 지속될 경우 독립생활과 고용에 영향을 미칠 수 있으므로(Mantzoros et al., 2022), 후속 연구에서는 가정 및 지역사회 환경에서도 중재 효과를 검증할 필요가 있다.
다섯째, 반응차단 후 재지시와 자기점검을 동시에 사용한 다요소 중재이기 때문에 두 중재 요소가 각각 음성 상동행동과 과제수행 행동에 미친 영향의 정도를 구분하기 어렵다. 중재 효과는 확인되었으나, 어느 요소가 더 큰 영향을 미쳤는지에 대한 분석은 이루어지지 않았다. 후속 연구에서는 반응차단 후 재지시와 자기점검이 음성 상동행동 감소와 과제수행 행동 증가에 어떻게 영향을 미치는지 실험결과를 비교하여 검증하는 것이 필요하다.
여섯째, 중재가 실제 수업 시간에 이루어졌다는 점에서 주변 학생의 존재, 교사의 수업 진행과 관리, 교실 내 환경 등 다양한 변인이 중재 과정과 결과에 영향을 미쳤을 가능성이 있다. 이러한 요인은 생태학적, 외적 타당도를 높일 수는 있으나, 한편으로는 중재자의 즉각적 개입을 방해하거나 학생의 반응에 영향을 줄 수 있어 중재 효과의 순수성을 제한하였을 수 있다. 향후 연구에서는 이러한 중재 결과에 대한 혼동변인의 영향력을 보다 통제한 환경에서의 중재 효과와 비교할 필요가 있을 것이다.
마지막으로, 본 연구에서 사용한 반응차단 후 재지시와 자기점검 전략은 학교 현장에서 비교적 적용이 용이한 장점이 있지만, 현장 교사가 중재를 주도적으로 설계하고 실행하기 위해서는 전략 교수에 대한 충분한 이해와 실행 역량이 요구된다. 또한 중재 효과의 유지와 일반화를 위해서는 가정에서 보호자의 협력과 일관된 지원이 필수적이다. 이에 따라 교사와 보호자의 중재 역량을 강화할 수 있는 실천 중심의 연수 및 지원 체계가 확립되어야 할 것이다.





